Index

ABSTRACT

The objective of this article is to establish the fact that networking among supply chain agents enhances the performance of the system. The study has adopted an agent-based architecture for analyzing the networking effect of supply chain on an agricultural supply chain platform from an emerging economy. While carrying the products from a farmer to an urban customer, each downstream agent of an agricultural supply chain incurs additional transaction cost, and as a result, the price that the final customer pays becomes much higher than the farmers’ original selling price. Clearly, middle agents of supply chain consume a large chunk of profit which otherwise could have benefitted the farmer, the actual producers of the products. It is in this context this study shows that if farmers are networked on a blackboard architecture and the other intermediary agents including traders, commission agents, wholesalers, and retailers are also networked, then each agent becomes knowledgeable about others’ pricing strategies, both within and across the agent groups. This essentially reduces the transaction cost of the agents and thereby enhances the efficiency of the entire system. The study builds up an agent-based network structure and then simulates the effect of it. It finds that if both farmer agents and other intermediary agents are non-networked, then the efficiency of the system is only 29%, whereas if all agents are networked, then the efficiency rises to 92.43%. The research benefits the unorganized sector to gain rationality in income distribution in an underdeveloped society.

Keywords: Agricultural supply chain (Q110), Agent-based modeling (C630), Mathematical models (C6), Simulation modeling (C630), Transaction cost (D230), Network formation (D85), Network effect (D85)

DOI: 10.20448/802.61.105.118

Citation | Madhumita Guha Majumder; Madhavi Lokhande (2019). Networking Effects on Supply Chain Performance: An Agent-Based Modeling Approach. International Journal of Economics, Business and Management Studies, 6(1): 105-118.

Copyright: This work is licensed under a Creative Commons Attribution 3.0 License

Funding : This study received no specific financial support.

Competing Interests: The authors declare that they have no competing interests.

History : Received: 31 January 2019 / Revised: 20 March 2019 / Accepted: 26 April 2019 / Published: 5 July 2019.

Publisher: Online Science Publishing

Highlights of this paper

  • The aims of this article are to establish the fact that networking among supply chain agents enhances the performance of the system.
  • The study has adopted an agent-based architecture for analyzing the networking effect of the supply chain on an agricultural supply chain platform from an emerging economy.
  • The research benefits the unorganized sector to gain rationality in income distribution in an underdeveloped society.

1. INTRODUCTION

The world economy has been experiencing a revolutionary structural change in the output market in terms of commercialization of subsistence agriculture. Conversion of an agricultural barter subsistence system into a commercial one underlines the importance of the existence of today’s well-structured agricultural supply chain. The agricultural supply chain contains a set of vertically connected transactions that include a transformation of raw material to the delivery of a complete product.  Christopher (1998) mentioned that the vertical interconnections in the supply chain involve resource allocation and flow of information between sequential production activities.   Barney and Clark (2007) extended the importance of value creation of Porter’s Value Chain Analysis from the limitation of within a boundary of a firm to cross the boundaries of different firms. Further literature (Stuart et al., 1998) explains the necessity of promoting the exchange of knowledge between the suppliers.

Importance of connectivity between the different participants of an agricultural supply chain has become a primary focus to the researchers, since the performance of the supply chain is constrained by certain hidden cost, primarily, in the form of transaction cost.   While executing a trading activity, it is essential to judge the viability and the profitability of a prospective transaction by collecting and processing the information about the trading partner in addition to the product (Coase, 1937; Williamson, 1975). Hobbs (1996) captured the concept of transaction cost under three distinct components, namely, information cost, negotiating cost, and monitoring or enforcement cost. Firms incur information cost to search for their trading item, the product price, and to look for a proper trading partner. Negotiation cost is incurred toward managerial and legal aspects of the deal, while monitoring cost is incurred to ensure the implementation of the deal as per the contractual agreement.

Research focuses on the impact of a decline in transaction cost on efficiency of an organization or a market system (Gurbaxani and Whang, 1991). A few studies (Malone and Rockart, 1991; Clemons and Row, 1992) have tried to show how a contraction in transaction cost can save the direct cost, in addition to some other indirect cost such as agency cost and monitoring cost which the organizations incur to execute the whole process. Further literature shows that (Wilson, 1996) the need for the cooperation among the agents in the chain to reduce these costs improves the uncertainty in the market and for efficient production of the required and desired products through higher levels of interaction and collaboration.

1.1. Problem Statement

This study concentrates on identifying and analyzing the transaction cost in the agricultural supply chain. The goal is to show how the efficiency of the system could be improved with a decrease in transaction cost. The theoretical aspects of the proposed transaction cost analysis using an agent-based system are explained. It also explains how the networking of information among agents helps in improving efficiency. The transactions among the farmers (producers) and the intermediary agents are of specific interest of the study. The study proposes that by networking the farmers, asymmetry in information could be reduced in an agricultural supply chain, leading to a decline in transaction cost, and thereby increasing the efficiency in the system. The research stems from the fact that the net price that the farmers receive and the increase in the net price that the end customer pay have a significant wedge. The research also proves that the farmers are the only ones in the supply chain who add value to the product in terms of production and therefore should attain better benefits in terms of the net price they receive.

2. LITERATURE REVIEW

This section is divided into three subsections. Section 2.1 describes the structure of the agricultural supply chain system; section 2.2 introduces an agent-based system in brief, while section 2.3 lays the foundation to construct an agent-based system on the agricultural supply chain.

2.1. Agricultural Supply Chain

Most of the industries view the supply chain as a common practice in conceptualizing the consumer products and services. Linus (2002) said that there has been increasing interest in the agricultural supply chain due to two important reasons. They are industrialization (Boehlje, 1994; Blank, 1998) of agriculture and the uncertainty associated with the variations in product quality and safety. Some of the other factors include globalization and competition among various trading partners, changing consumer demand, and consumption patterns.  The variation in the quality and magnitude of the agricultural supply environment introduces uncertainty in the supply of goods and safe products to the end user. As a result, the transaction cost that includes the negotiation cost, information, and monitoring has increased in addition to the quality and safety of the product (Linus, 2002).

An agricultural supply chain consists of all activities which involve production, distribution, and delivery of goods to the customers. The supply chain transforms the raw materials into the delivery of final product to the consumer, and every step required for the production and other processes are linked in the supply chain. A typical structure of an agricultural supply chain in India exhibits a vertical connectivity between farmers, traders, commission agents, wholesalers, retailers, and the end customers. Therefore, the study considers a supply chain, in which farmer produces and sells the products to the traders. The traders, in turn, with a margin seek the commission agents through whom the products reach the wholesalers. The retailers, after obtaining the goods from the wholesalers, sell their products to the end customers. Each immediate trading partner in the chain incurs a cost and therefore sets a margin for the profits. The agricultural supply chain and distribution is a combination of such several functions and similar services. Figure 1 depicts the vertically connected agricultural supply chain, which would be referred hereafter in the study as “reference” chain.

2.2. Agent-Based Systems

Agent-based systems are part of multiagent systems, a branch of distributed artificial intelligence that has attained popularity in the recent decade. Agent-based systems deal with the systems with multiple entities called agents that interact in a domain. Literature shows several definition of an agent. Wooldrigde (1999) defined an agent as “a computer system, that is situated in some environment, and that is capable of taking actions autonomously in this environment in order to meet its design objectives.” These group of heterogeneous agents situated in an environment learn, react, and adapt to the change in environment. These systems deal with the behavior management in collections of such independent agents. Each agent works toward accomplishing its own individual goal while contributing to the global task to be achieved by the group of agents. Therefore, agents are required to coordinate their skills, knowledge, goals, and plans to accomplish a global problem. Agent-based systems are open, decentralized, and distributed systems operating with a group of such autonomous and independent agents (Russell and Norvig, 1995; Bond and Gasser, 1998).

2.3. Agent-Based Modeling in Agricultural Supply Chain

Agent-based models andsimulations (ABMSs) differ from the traditional modeling approaches. ABMSs are being used for modeling social, organization, and individual behaviors that involve cooperation and collaboration, decision-making, group behavior, and evolving a structure (Russell and Norvig, 1995; Bond and Gasser, 1998). The need for agent-based modeling was well-explained by Charles et al. (2006). They statedthat the need for agent-based systems is due to large complex systems that require different procedures other than the traditional approaches. Also, availability of large data due to improved communication systems requires better processing.  Hence, the data are split into modules and further into micro-modules for processing. Therefore, the systems require strong computational abilities to handle the data.

Table-1. Similarity between agent-based systems and agricultural supply chain.
Agent-based systems
Agricultural supply chain
Decentralized systems
Decentralized
Agents have individual goals
Agricultural agents have individual tasks
Agents have a global goal to achieve
All agents in the supply chain have a global task of delivery from raw material to product
Agents communicate with each other
Supply chain agents are connected
Agents have skills such as coordination, communication, intelligence
Each agent possess such skills
Agents possess different attributes and characteristics
Every agent in the supply chain possess different attributes and characteristics
Agents are distributed in an environment
All agents in the supply chain are distributed in the physical space

Figure-1.Agents in the vertical agricultural supply chain in India.

Source: Investment information and credit rating agency (2001); Amit et al. (2005).

Agent-based systems form a good platform to implement the agricultural supply chain due to several similarities. The similaritieshold good for any supply chain in general;however, Table 1 provides the similarities in the agricultural supply chain and the agent-based systems, since agricultural chain is the interest of the author’s study. An agricultural supply chain is a decentralized system where each trading partner has a goal to resolve. In addition to the independent task they might perform, there is a need for cooperation among the trading partners and need to collaborate to accomplish their goals.  There is also a need for network and transformation of information among the partners to complete the supply chain.  Agent systems possess similar characteristics such as decentralized control, individual and common goals, and adaptability to the environment with unique agent properties. Therefore, it is possible to apply agent-based systems to resolve issues in the agricultural supply chain.

3. RESEARCH METHODOLOGY

The objective of the agent-based model is to maximize the efficiency of an agricultural supply chain by reducing the incremental cost parameters.To establish a metric to measure the efficiency of the system, the whole supply chain activities is divided into three categories:

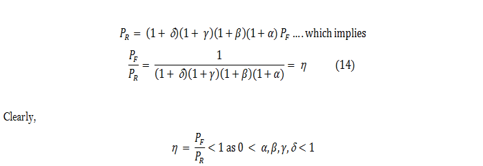
From the above discussion, it is clear that farmers, being the only vehicle to carry out the VA activities, should receive the maximum share of the final price paid by the customers. Alternatively, we say that:

where PF = farmer’s price, PR = retailer’s price, and Pi = price of any ith agent.

This research argues that the efficiency of an agricultural supply chain should be measured by the farmer’s share in the final price; that is, the higher the share a farmer receives for every dollar that the retailer receives for his product, the greater the efficiency. If h measures the efficiency of the system, the objective of this study is to maximize:

3.1. Definition of Agents and Their Characteristics

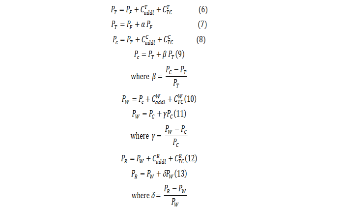
This study has considered a five-tier agricultural supply chain. Each member of the supply chain is considered as an agent,and each member contains multiple agents. An agricultural supply chain consists of farmer agent (F), trader agent (T), commission agents (C), wholesaler agents (W), retailer agents (R), and the customer.  All the agents, except farmers and customers, are termed as intermediary agents.  The location information for the agents is provided by the agent vectors. Each agent has different goals in the supply chain. The goal of the framer agent is to produce the product and sell it to the immediate trading partner. The goal of the trading agent is to sell the product to the immediate partner, namely, the commission agent who in turn passes the product to the wholesaler. The retailer purchases the products from the wholesaler and sells them to the customer. The global goal of all the agents in the supply chain is to provide the product to the end customer. Each agent has the characteristics of mobility and can adapt to the environment, and hence undergoes a dynamic process. Farmer is the producer who converts the raw material into product. All the agents add a cost parameter to the price of the farmer.

Farmers carry the products to the traderswho add a cost parameter “α” to the price of the product.  Each tradersells the product to a commission agentafter adding “β” to his cost andthe wholesaler adds “γ” who sells it to the retailer. The retailer also adds his additional cost parameter “δ” before the product reaches the end customer. However, the supply chain, considered under the study, gets terminated once the product reaches the retailer.Hence, the retailer’s additional cost parameter is not included here.

3.2. Efficiency Model

The model defines the agents in the supply chain as upstream and downstream agents, according to the direction of flow of the process.  The process is initiated from the farmers to the customers as shown in Figure 1. For example, the trader is the downstream agent to the farmer and the trader is also the upstream agent to the commission agent and so on. The model further defines the price in terms of the upstream and downstream agents.

Figure 2. Agricultural supply chain in terms of upstream and downstream agents.

From Figure 2, we derive the price of the product for each agent.

Here, Cjaddl is the additional cost incurred by the jth agent,CjTC represents the transaction cost by the jth agent, and Cjaddl + CjTC measures the total incremental cost. Equation 2 states that every time goods flow from an upstream agent to a downstream one, the latter agent incurs an inventory cost, material handling cost which is referred as “additional cost.” Over and above the additional cost, they also incur transaction cost in terms of searching cost, negotiation cost, and transportation cost. We define the searching cost (Sc)as a function of searching time (St) which is in turn a function ofopportunity cost of labor searching for a trading partner (Cl), opportunity cost of working capital (Cc), and wastage due to delay (Cw). Transportation cost (Tc) is defined as the cost incurred due to the distance travelled by the agent to procure the product. The above two cost functions are given by Equations 3 and 4, respectively. Negotiation cost is assumed to be constant across all the agents.

Hereafter, the agents will be denoted as follows: farmer agent = F,trader agent = T,commission agent = C,wholesaler agent = W, andretailer agent = R. Furthermore, let Pi be the price of ithagent (i = farmer, trader, commission agent, wholesaler,and retailer); the prices of each agent are determined applying the above concept in Equation 5 of price fixation with respect to their respective downstream agent. The price equations for all agents are given in Equation 6–13.

From Equations 7, 9, 11,and13, we have,

Here, h measures the cost efficiency of the whole agricultural supply chain; the higher the value ofh, the lesser the cost incurred by the supply chain. The study scrutinizes that if the agents are networked within their own group or across the groups, the efficiency of the system is improved. Considering the case of networking of the farmer agents, which is the focus of this study, the price of the farmer agent is defined as follows. Each farmer agent has a minimum price Pminand a maximum pricePmax; they share their maximum prices with the traders. If the farmers are not networked, the traders take the advantage of lack of information among the farmer agents and determine the minimum of all the maximum prices quoted by all the farmers. The non- networked price of the farmer, PFNNW, can be defined as follows:

3.3. Agent Network

The study assumes that the intermediary agents in the agricultural supply chain are networked vertically. It is assumed that each trader is connected to a commission agent.  Each commission agent is connected to the wholesaler and the wholesaler is connected to the retailer. The connection between two agents involves a possible mutual transaction in terms of physical transportation of the goods, communication, and coordinating capabilities. The agent environment is typically the physical supply chain that involves various agents, processes, and attributes. Agents also adapt to such changing parameters. The study analyses that if the agents are networked either within their own agent group or among different agent groups, the efficiency of the system is improved. Therefore, this research designs a network system where all agents are connected through a blackboard architecture that provides location information about the other agents in the network.  The emphasis of the study is to show the networking effect of the farmers.

Horizontally networked farmers: The networking of the farmers is done in a horizontal manner and is termed as cooperativemodel. By horizontal network, we mean to use the blackboard among the farmer agents who belong to the same group of agents. The network connection between the farmer and the immediate trader agent still remains vertical. In this blackboard architecture, all farmer agents have the access to the blackboard and the access is limited to the use of the farmer agents among themselves. However, the information provided on the blackboard is the minimum and maximum prices of the all the famer agents. It is assumed that all the farmer agents have the same unit price for accessing the blackboard. Hence, the information access cost is assumed to be a constant for all the farmer agents. An information matrix acts as the blackboard that is modeled as an agent network. An example of the farmer’s network is shown in Figure 3a.

Vertically connected intermediary agents: Figure 3b shows the networked intermediary agents. Here, the networking represented is among the group of agents connected vertically which is termed as collaborative model. For example, if the agents considered are traders, the network in Figure 3b shows how traders are networked by the blackboard architecture. The information provided is the location of each agent with respect to the other in the physical environment. The location is defined by the x and y coordinates, and the distance is calculated by the Euclidean norm.

Figure-3. Blackboard architecture for the farmers’ network and all other intermediary agents.

3.4. Agent Methods

Asymmetry of information within and across the agents distributes the wealth in an uneven manner, which ultimately leads to a lower level of efficiency in a supply chain process. Therefore, the agent-based algorithm has been simulated in two different scenarios. The first scenario considers the farmers in horizontal groups (cooperative model) and the second one considers the intermediary agents in vertically connected groups (collaborative model) to examine the impact of networking on the efficiency. Under the first scenario of horizontal famer groups, the study has shown that dissemination of information among the farmers brings the maximum benefit to them through their strong bargaining power over the traders. As a result, they fetch a better price in the market, which increases the value ofh, and thereby the system experiences an improved efficiency. Under the second method of collaboration, where the agents are vertically connected, knowledge obtained through the network about other agents and their activities reduce the transaction cost of all the intermediary agents. As a result, the intermediary agents add lesser incremental cost in their respective prices. This, in turn, makes the final price, the price set and offered by retailers to customers, highly competitive, leading to a greater efficiency.

The agent program implements the following methods to perform the above-mentioned tasks. All the methods are generic, so that all the agents can use the methods in the system.  The following are the methods used by the agents in the program:

4. RESULTS AND DISCUSSION

The simulation studies the impact of network on the agents’ system in an agricultural supply chain. The agents are randomly distributed in an environment of n´n, where nrepresents the dimension of the environment. The environment represents the physical space where agents are involved. The agents are identified by the index, 1–5, starting from the farmer to the retailer. We assume the blackboard as the agent network. The experiment was conducted in two steps, namely, horizontally connected famers (cooperative model) and vertically connected intermediaries (collaborative agent’s model). The cooperative agent theory discusses the farmer’s price when they are non-networked and the effect of networking on the price quoted by the farmers to the trading agent. The results show that

Table-2. Results of the cooperative agent theory.
Farmers
Min.price
Fp
Max.price
Fp
F1
104
118
F2
109
180
F3
127
177
F4
103
138
F5
131
144
 
Non-networked
P = min (max(Fp))
118
Networked
P = max(min(Fp))
131

Table 2 shows the selected prices before and after networking. As shown in Table 2, the farmers could quote a maximum price among themselves to gain the benefit. This is possible because of the blackboard that acts as the network to the farmers. The network enables the farmer to quote a maximum price and reap the benefits. Equations 15 and 16 proposed in our model under section 3.1 are evidenced by our simulation results. Table 2 shows that the farmer’s non-networked price is 118, which is the minimum of all the maximum prices quoted by the farmers. The market price set at 118 clearly brings the losses to farmers F3 and F5 whose minimum prices are 127 and 131, respectively. The above result shows the networked price is determined at 131, which is the maximum of all minimum prices. Therefore, no farmer loses in terms of their minimum prices. Figure 4 compares the non-networked and networked prices of the farmers and all the agents. From the plot, it is clear that the networked farmer’s price is higher than the non-networked famer’s price.

The second stage involves the vertically connected intermediary (collaborative model) agents. Here, all the intermediary agents are networked. We reference Figure 1 as our basic reference chain, where the basic price of the farmer is assumed to be 100 per unit. Here, the reference chain under consideration uses the incremental cost values of 25%, 5%, 50%, and 75%. Therefore, the price of each agent in the chain is calculated by Equations 7, 9, 11, and13. Figure 5 shows the prices of all the trading agents in the chain with the basic price. The plot reflects the price increase due to the incremental cost parameters defined by each intermediary agent, before it reaches thecustomer.


Figure-4. Non-networked and networked farmers’ price.
Figure-5. All prices with respect to farmers’ price (=100).

However, here, from the cooperative theory of agents, we have the non-networked and the networked prices of farmers. Hence, the price of the intermediary agents is calculated for both the cases of PFNNW and PFNW, non-networked and networked prices of the farmer agents. Figure 6 shows the prices of all the agents in the chain for both PFNNWand PFNW. The results show the effect on the price of the intermediary agents when the farmers are networked.

Figure-6. Trading partners’ price in a collaborative agent theory.
Figure-7. Incremental cost of agents with farmers’ networked and non-networked prices.

We also measure the performance by the efficiency of the system, with and without networking the farmers. Equation 14shows that the efficiency hof the system is determined by the incremental cost parameters added to the chain by the intermediary agents. Initially, we calculate the efficiency E1 of the reference chain using the reference cost parameters which is determined as 29%. Then the efficiencies of the collaborative model using the non-networked price (E2) and networked prices (E3) of the farmers are calculated. Table 3 shows the efficiency of all the threesystems under consideration. Figure 7 shows the efficiency of the system with a basic price E1, the efficiency E2 with the non-networked farmer’s price, while intermediary agents are networked, and the efficiency E3 obtained with the networked farmer’s price. Clearly, as the value of the incremental costs of the intermediaries reduces, the efficiency increases. This also shows that by networking, the price determined by the farmer to the trader agent changes drastically, thereby benefiting the farmer.

Table-3. Supply chain efficiency.
Farmers
Intermediate trading partners
Efficiency of the system
Non-networked
Networked
E1 = 29%
Networked
Non-networked
E2 = 84.42%
Networked
Networked
E3 = 92.43%

5. CONCLUSION

The purpose of this research was to study the effect of networking of agents on the efficiency of the agricultural supply chain. The experiment was conducted in two phases. In the first phase, the farmer agents are grouped in a horizontal chain. The farmer’s price is determined where the farmers are in a group but are not networked in terms of information. The results clearly show that without networking, the trader decides on the farmers’ price which is the minimumof all maximum prices quoted by all the farmers. Also the farmers, whose minimum price is lesser than the price chosen by the trader, become the losers. Therefore, the lack of networking among farmers denies the farmers in setting the market price for their own product.

Then, the experiment also simulates the network through blackboard architecture that provides information regarding the price to all the farmers. On networking, the farmers stood a better chance in deciding the price that could be made available to the trader. This price is determined as the maximum of minimum prices set by allthe farmers. The results prove that networking not only helps the farmer to gain the decision-making power but also the price quote to the trader. Here, due to networking, the farmer whoseminimum price is less than the quoted price also tends to get a better price. The farmer’s networked and non-networked pricesare used to calculate the rest of the agent’s price in the chain, and hence the efficiency is also calculated.

The second phase of the experiment deals with all other intermediary agents networked in the chain. Here, each agent’s price is calculated with a farmer’s price along with the incremental cost parameters decided by the respective agent. In effect, the efficiency of the agricultural supply chain is found out in terms of the incremental costs. The study has used the incremental cost parameters used by Amit et al. (2005) as the reference chain, and the efficiency of the supply chain with the reference parameters is calculated and compared with the efficiency of the proposed study.

The results prove that by networking the farmer agents, the incremental cost parameters decrease thereby increasing the efficiency of the entire chain. In the reference chain, when the farmers are not networked, the efficiency of the system was only 29%, while the non-networking of intermediate trading partners, coupled with networked farmers group, showedan efficiency of 84%; however, if both farmers and other intermediate trading partners are networked, the efficiency goes up to 92.43%. Therefore, the research reports successful results of the impact of networking among agents on the efficiency of the chain. In future, the study can be extended to the analyses of the efficiency of the agent network through contract farming where the farmers could be directly connected to the retailer. The research concludes with the importance of networking that would benefit the farmers, the sole value adders in the chain.

REFERENCES

Amit, S., B. Sahay and D. Sharma, 2005. Developing indian grain supply chain cost model: A system dynamics approach. International Journal of Productivity and Performance Management, 54(3): 187-205.Available at: https://doi.org/10.1108/17410400510584901.

Barney, J.B. and D.N. Clark, 2007. Resource-based theory: Creating and sustaining competitive advantage. Oxford, UK: Oxford University Press.

Blank, S.C., 1998. . The end of agriculture in the American portfolio. Westport, Conn, USA: Quorum Books.

Boehlje, M., 1994. Financing industrialized agriculture. Journal of Agricultural Lending, 7(4): 16 -26.

Bond, A.H. and L. Gasser, 1998. Readings in distributed artificial intelligence. San Mateo, California, USA: Morgan Kaufman Publishers Inc.

Charles, M., M. Macal and J. North, 2006. Tutorial on agent based modeling and simulation: How to model agents. Proceedings of 38th Winter Simulation Conference, California, 2006, pp: 73-83.

Christopher, M., 1998. Logistics and supply chain management: Strategies for reducing cost and improving service. 2nd Edn., Britain: Financial Times/Prentice Hall.

Clemons, E.K. and M.C. Row, 1992. Information technology and industrial cooperation: The changing economics of coordination and ownership. Journal of Management Information Systems, 9(2): 9-28.Available at: https://doi.org/10.1080/07421222.1992.11517956.

Coase, R.H., 1937. The nature of the firm. Economica, 4(16): 386-405.

Gurbaxani, V. and S. Whang, 1991. The impact of information systems on organizations and markets. Communications of the ACM, 34(1): 59-73.Available at: https://doi.org/10.1145/99977.99990.

Hobbs, J.E., 1996. A transaction cost approach to supply chain management. Supply Chain Management: An International Journal, 1(2): 15-27.Available at: https://doi.org/10.1108/13598549610155260.

Linus, U., 2002. Traceability in agriculture and food supply chain: A review of basic concepts, technological implications, and future prospects. Journal of Food Agriculture and Environment, 1: 101-106.

Malone, T.W. and J.F. Rockart, 1991. Computers, networks and corporation. Scientific American, 265: 128–136.

Russell, S. and P. Norvig, 1995. Artificial intelligence: A modern approach. New Jersey, USA: Prentice Hall.

Stuart, I., P. Deckert, D. McCutcheon and R. Kunst, 1998. Case study: A leveraged learning network. Sloan Management Review, 39(4): 81-93.

Williamson, O.E., 1975. Markets and hierarchies: Analysis and antitrust implications. New York: Free Press.

Wilson, N., 1996. The supply chains of perishable products in Northern Europe. British Food Journal, 98(6): 9-15.Available at: https://doi.org/10.1108/00070709610131320.

Wooldrigde, M., 1999. Intelligent agents, multiagent systems: A modern approach to distributed artificial intelligence. Massachusetts, USA: Gerhard Weiss (Eds), The MIT Press.

Online Science Publishing is not responsible or answerable for any loss, damage or liability, etc. caused in relation to/arising out of the use of the content. Any queries should be directed to the corresponding author of the article.