Improving economic benefits from a large coal mining group with several operations is always the first objective of its operator. More concerns are usually focused on the unit operations and their cost. An optimization model for coal products and production rate based on Simplex Method(SM) and Algorithm of Universal Global Optimization(AUGO) approach is established in order to maximize the economic benefits of a given mining group in its existing cost construction. The result shows that the total economic return of the group could be improved a lot through optimization of its coal products and production rather than the summation of its every single mine’s coal products and production rate, each operation of the group should do its best to produce as more as possible high quality products it can produce, and the mines with inferior quality of products should excavate their deposit according to the optimized production rate to make the whole system profit maximum rather than its own designed production.
Keywords: Coal products, Production rate, Optimization, A given group, Simplex method.
DOI: 10.20448/802.41.57.64
Citation | Kai Zhang; Changsheng Ji; Haibing Ren (2017). Improving Economic Benefits through Coal Products Optimization in a Given Group. International Journal of Economics, Business and Management Studies, 4(1): 57-64.
Copyright: This work is licensed under a Creative Commons Attribution 3.0 License
Funding : The special thanks are given to XMA of Jizhong Energy group and colleagues for their proposals and financial help in research of the project.
Competing Interests: The authors declare that they have no competing interests.
History : Received: 1 September 2017/ Revised: 28 September 2017/ Accepted: 3 October 2017/Published: 9 October 2017
Publisher: Online Science Publishing
Coal is a major natural energy resource in China, which is about more than 70% of its total energy consumption and it is expected that the nation’s energy structure will not be changed much in the next 50 years. It is estimated that coal will still be more than 50% in China’s energy consumption in 2050. As a major coal producing and consuming country, how to increase its total economic return while decrease greenhouse gas emission from its coal burning with the production of coal is really a good concern (Organization for Economic Co-Operation and Development, 2003)
Recent years in China, some small and medium operations are being combined into large coal groups with the development of science and technology as well as market demand increasing, and some superior quality energy resources are concentrated into large complexes with higher management abilities. The resulted conditions from such combined enterprises give rise to such situation that several operations are operated by a large group with multi-commercial coal products. Take Xingdong mining area as an example, after 6 underground operations being mergered into the same group, the commercial coal products can be produced from the group include coking coal, metallurgical coal, steaming coal, coal for power generation, etc. with quite deferent coal prices.
In the period of planned economy in China, coal production was usually determined according to market demand, mine life and some other constraints, optimization work was rarely conducted in the original stages, so that its coal products; for a developed or existing mine, it is usually the more production rate, the more profit; for an active operation, if the market demand is high enough, the mine is typically try to produce more products to get a maximum financial return from its own; with the increasing large groups, the objective is to get maximum profit from its production of operations, so that the question is arising, if the group’s maximum financial return is the sum of its every single operation; and if the group’s maximum profit is related to their products of different operations. The end objective of any coal mining company is to get maximum profit from its operation. For a single mine engaged in coal extraction, coal quality and ranks are usually determined, no need to optimize its coal products. As a big coal mining group, several mines maybe owned with different production rate and commercial coal products, and more concerns are usually focused on the unit operations and their cost, under this circumstance, if the optimization work can be made to make maximum profit from its production under the existing cost construction. As a result, a project is proposed to optimize total economic return in a given group with several operations under certain cost, coal production and coal products to seek a new approach.Xingtai Mining Area is a major coal mining area in Jizhong Energy Group with 6 underground coal mines under operation, several kinds of coal products can be processed from its run-of mine coal. In order to improve the Group’s benefits in the increasing market competition, a project focus on coal products and total production rate optimization is proposed to seek some better management approaches.
For a given mining operation, its coal rank is usually determined, and coal products also depend on its coal deposit conditions. In a given conglomerated coal mining Group, several mines may be operated in a given period, so that its coal ranks and commercial coal products. A coal mining group can be described as a big system in which the production rate, coal products be elements in it, the system optimization objectives can be decided according to the research objectives of the project, and then the sequences of the system optimization could be done as follows.
2.1. The Optimization of Objective Function and its Criterion (Operations Research Teaching Material Compiling Group, 1990; Wayne et al., 2002; Qian, 2010)
Given that annual profit of a coal operation is P, iis the number of its mines, j denotes the number of coal products, and there are n mines in the coal operation, m coal products. The xri refers raw coal production rate of the ith mine, yji the production of the jth coal products of the ith mine, pri is the raw coal price of the ith mine, cri is the raw coal production cost of the ith mine(i=1, 2, ..., n); pji is coal price of the jth coal products in the ith mine, cji is the production cost of the jth coal products of the ith mine ( j = 1, 2, ... , m). The objective function is to achieve the maximum profit of the operation, so the optimization equation of coal products can be set up as follows:
2.2. The Constraints of the Objective Function
1) The Market Demand
Market demand must be considered at first for the production of coal products (Qian et al., 2003; Qian et al., 2008) only the marketable products are the sources of profits. If Dp is the total market coal product demand for the operation, kcj the total market demand for the jth coal product, the coal production rate is subject to:
The market demand of coal can be forecasted according to the statistics of the several years before by different forecasting methods.
2) Designed Coal Production Rate (Miao and Qian, 2009)
The quantity of coal products is determined by its designed raw coal production rate.
xri < Adpi (i = 1, 2,... , n) (4)
Where Adpi refers to designed annual production rate of coal in the ith mine.
3) The Quality of the Coal to be Mined
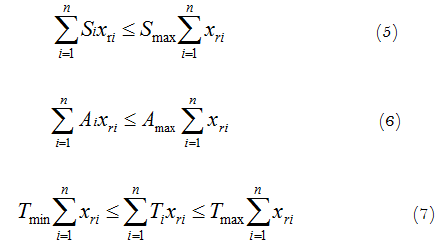
The quality of commercial coal is really a good concern to the end users, especially the sulfur content, ash content and calorific value etc. (Deng et al., 2013; Golshani et al., 2013) If, Si, Ai, Tiare the sulfur content, ash content and thermal value of the ith mine, respectively; Amax, Smax refer user commercial coal ash, sulfur content requirement limit respectively; Tmax, Tmin is user requirements on upper and lower thermal value of coal products, then the constraint equations are shown as follows:
4) The Breakeven Point of Coal Production
Any coal operation must take into account its economic conditions, keep the production rate higher than its break-even point of production rate in order to get minimum profit. If Be is the break-even point of an operation’s annual production rate with zero profit, the raw coal or/and commercial coal products should be,
5) Transport Capacity
Coal transportation capacity from a mine to its end users is often an important factor for its designed production rate since a coal mine is usually located at a distant area. If T0 represents the maximum annual transport capacity of a coal mine, the total production must be.
6) Nonnegative of the Variables
All the variables involved in the model must be non-negative.
Xingdong mining area (XMA) is a major coal production area of Jizhong Energy Group, six underground mines are operated under the mining area. The coal ranks mined in the area include coke oven coal, steaming coal, metallurgical coal etc. in the early stages, XMA’s coal products were only sold according to the products produced by every single mine. With the development of market demand, it is found that it be better to sell more qualified higher price coal products to get higher profit. A project aimed to optimize the XMA’s total financial return is proposed to see if the financial situation could be improved. The 6 underground mines in the XMA are Dongpang (DP), Gequan (GQ), Xiandewang (XDW) , Xingdong (XD), Xingtai (XT), and Zhangcun (ZC) mines. Coal products of the Group are mainly classified into coking coal, coal for power generation (power coal) and steaming coal for other uses.
The purpose of the XMA’s optimization is to get the maximum profit from its coal production, the optimization criteria of the project are set up as follows:
1) the total group annual profit should be maximized;
2) the supply of coal products should be kept stable;
3) the quality of coal products be in line with the market demand.
Given that group’s profit value is P, p1i is coking coal price of the ith mine,c1i is coking coal production cost of the ith mine; p2i is power coal price the of the ith mine, c2i is power coal production cost of the ith mine, p3i is steaming coal price the of the ith mine, c3i is steaming coal production cost of the ith mine. The xi is coking coal productionfrom the ith mine, yi is power coal output from the ith coal mine, zi the steaming coal production from the ith mine. Then
1) Function equation of the Group’s objective,
2) The objective function is subject to
(1) The market demand
Given that the biggest market demand for coking coal, power coal and steaming coal is Kmax, Pmax, Dmax respectively, then the market demand for coal production will be,
(2) The production rate of coal products
The maximum raw coal production rate of the ith mine is ai, recovery rate of the commercial coal in the ith mine is ri,
(3) Processing capacity of washing plants
If the maximum processing capacity of washing plants in the Group is W, then
(4) Non-negative of the whole variables
All the variables used in the model should be nonnegative, that is
| xi > 0, yii >0, zii > 0, i = 1, 2, ..., 6 (16) |
(5) All the other constraints related to the model will be taken into consideration, including the breakeven point of production rate, transportation capacity, resource recovery rate so on and so like.
Since in the optimization model of commercial coal products, the objective function f(x) and the constraint set functions g(x) are all linear or first-order, the programming problem can be solved as a linear programming (Wayne et al., 2002).
In the light of the XMA’s related data , the coal price, production cost and profit are listed in Table 1(the price and cost data are estimated from the statistics of the last 5 years production of the XMA ), production rate and recovery rate of commercial coal of different mines are listed in Table 2.
| Table-1. Estimated price of coal products and operating cost* (RMB ¥/t) | |||||||||
| Mine name | Coking coal price | Coking coal cost | Coking coal profit | Power coal price | Power coal cost | Power coal profit | Steaming coal price | Steaming coal cost | Steaming coal profit |
| DP | 1060.97 | 617.82 | 443.15 | 697.96 | 393.56 | 304.40 | 334.95 | 169.30 | 165.32 |
| GQ | 1205.27 | 701.85 | 503.42 | 732.46 | 416.75 | 315.71 | 259.65 | 131.65 | 128.00 |
| XT | 1134.08 | 660.39 | 473.69 | 679.56 | 387.18 | 292.38 | 225.03 | 113.96 | 111.07 |
| XD | 0.00 | 0.00 | 0.00 | 0.00 | 0.00 | 0.00 | 684.77 | 346.79 | 337.98 |
| XDW | 806.22 | 469.47 | 336.75 | 600.95 | 334.93 | 266.02 | 395.68 | 200.39 | 195.29 |
| ZC | 1032.00 | 600.95 | 431.05 | 0.00 | 0.00 | 0.00 | 342.00 | 200.77 | 141.23 |
| *Courtesy of XMA’s statistics. | |||||||||
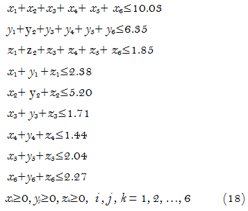
Market demand forecasting of coking coal, coal for power generation, steaming coal for the given year is 10.03, 6.35, 1.85Mt respectively, the objective function is given by
| Max F = 443.15x1 + 503.42x2 + 473.69x3 + 0.0x4 + 336.75x5 + 431.05x6 + + 304.40y1 + 315.71y2 + 292.38y3 + 266.02y5+ + 165.32z1+128.00z2 +111.07z3 + 337.98z4 + 195.29z5 + 141.23z6 (17) |
| Table-2. Mine production rate and recovery rate of coal products | |||
| Mine name | Max Designed production, Mt | Commercial coal recovery rate | Max Commercial coal roductionMt |
| DP | 6.50 | 0.80 | 5.20 |
| GQ | 1.84 | 0.93 | 1.71 |
| XT | 2.80 | 0.85 | 2.38 |
| XD | 1.73 | 0.83 | 1.44 |
| XDW | 2.80 | 0.81 | 2.27 |
| ZC | 2.40 | 0.85 | 2.04 |
| *Courtesy of XMA’s statistics. | |||
Subject to
In which xi refers to the coking coal production from the ith mine, yj refers to the coal production for power generation from the jth mine, and zk the steaming coal production from the kth mine.
Since the variants in the model are all first-order, and optimization model of the project is a linear programming problem which can be solved by different software with different advantages and disadvantages. Simplex Method(SM) and Algorithm of Universal Global Optimization(AUGO) are selected in the process of optimization, and the 1stOpt 5.0 software is selected to search for its solutions. The 1stOpt 5.0 software has the advantages of using AUGO with higher numbers of repetition and iteration, and the more accuracy of the optimization results. After repeating and iterating the given times, the general global optimization results are shown in Table 3.
| Table-3. Optimization results of coal products from different mines | |||||||
| Year 2013 | DP | GQ | XD | XT | XDW | ZC | |
| Designed production rate /Mt |
Coking coal | 3.80 | 0.50 | 2.35 | 0 | 0.81 | 0.80 |
| Coal for power generation | 0.39 | 0.28 | 0.14 | 0.00 | 0.49 | 0.00 | |
| Steaming coal | 0.86 | 0.70 | 0.57 | 1.25 | 0.54 | 0.90 | |
| Optimized production rate /Mt |
Coking coal | 3.90 | 1.71 | 2.38 | 0 | 0 | 2.04 |
| Coal for power generation | 1.30 | 0.00 | 0.00 | 0.00 | 2.27 | 0.00 | |
| Steaming coal | 0.00 | 0.00 | 0.00 | 1.44 | 0.00 | 0.00 | |
To optimize coal products and production rate of different mines in a big group can offer an approach to getting maximum profit through optimizing designed production rate, coal products and increased market competency under certain cost construction. The project case study shows that optimization model of production rate and coal products in the XMA can bring more profit than that of the sum of designed production rate in every single mine, take the year of 2015 for example, if the XMA produce coal products according to optimization result, the total profit of the Group could be increased by 21.0% from 5.02 to 6.08 billion Yuan rather than by each mine’s designed production.
From the case study, some conclusions could be drawn:
5.1. If the group organized its production rate according to the designed production rate of every mine, it is probably that the total profit of the group cannot be reached maximum.
5.2. Through optimization of the group’s coal products under the original designed production rate, the group’s financial return can be increased more than 20.0% in light of the ongoing coal products price and cost.
5.3. Under certain market demand, each operation of the group should do its best to produce as more as possible high quality products it can produce.
5.4. Those mines with inferior quality of products should excavate their minerals according to the optimized production rate to make the whole system profit maximum rather than its own designed production.
Deng, X., J. Liu, Y. Wang and Y. Cao, 2013. Velocity distribution of the flow field in the cyclonic zone of cyclone-static micro-bubble flotation column. International Journal of Mining Science and Technology, 23(1): 89-94.View at Google Scholar | View at Publisher
Golshani, T., E. Jorjani, C.S. Chelgani, S.Z. Shafaei and H.Y. Nafechi, 2013. Modeling and process optimization for microbial desulfurization of coal by using a two-level full factorial design. International Journal of Mining Science and Technology, 23(2): 261-266.View at Google Scholar | View at Publisher
Miao, X. and M. Qian, 2009. Research on green mining of coal resources in China: Current status and future prospects. Journal of Mining & Safety Engineering, 26(1): 1-14. View at Google Scholar
Operations Research Teaching Material Compiling Group, 1990. Operations research. China: Tsinghua University Press pp: 8-44.
Organization for Economic Co-Operation and Development, 2003. Emerging risks in the 21st century: An agenda for action. Paris: OECD Publication Service, 11.
Peter, D., 2011. SME mining engineering handbook. 3rd Edn., USA: SME Inc. pp: 39-47.
Qian, M.-G., 2010. On sustainable coal mining in China. Journal of China Coal Society, 35(4): 529-534. View at Google Scholar
Qian, M.-G., X.X. Miao and J. Xu, 2008. On scientized mining. Journal of Mining & Safety Engineering, 25(1): 1-10. View at Google Scholar
Qian, M., J. Xu and X.X. Miao, 2003. Green techniques in coal mining. Journal of China University of Mining and Technology, 32(4): 343-348.
Wayne, T.C., H. Joe, K. Mize and N.W. John, 2002. Introduction to industrial and systems engineering. China: Tsinghua University Press. pp: 362-366.