Index

ABSTRACT

This paper compares three estimation strategies: mixed regression, fixed-effect regression and random-effect regression, based on the provincial (municipal) panel data of China from 2006 to 2015. By examining the individual and structural effects of the data, it finds that the fixed effect model is suitable for this study. Using the variables of urban residents' basic endowment insurance fund expenditure, endowment insurance coverage rate and endowment insurance contribution rate, it establishes a fixed effect variable coefficient model to analyze the relationship between urban residents' basic endowment insurance system and urban residents' per capita consumption expenditure. The results show that increasing the expenditure of basic endowment insurance fund and improving the coverage rate of basic endowment insurance can improve the consumption level of urban residents. The marginal propensity to consume disposable income of urban residents in the current period is larger than that of the basic endowment insurance fund, which indicates that disposable income in the current period can affect the current consumption of urban residents more.

Keywords: Basic Endowment insurance, Consumption, Individual influence, Structural influence, Regression analysis, The life cycle theory.

DOI: 10.20448/807.5.1.46.57

Citation | Peipei Yan; Yuqin Ding; Qishui Chi (2019). The Impact of Basic Endowment Insurance on Urban Residents' Consumption-Empirical Analysis Based on 31 Provincial (Municipal) Panel Data. Global Journal of Social Sciences Studies, 5(1): 46-57.

Copyright: This work is licensed under a Creative Commons Attribution 3.0 License

Funding : The authors acknowledge the research supports of Shantou Social Sciences Association via Grant STSKL 20195. Meanwhile, we acknowledge the research supports of Shantou University via Grants NFC16009 and STF13012.

Competing Interests: The authors declare that they have no competing interests.

History : Received: 14 January 2019 / Revised: 19 February 2019 / Accepted: 25 March 2019 / Published: : 9 May 2019 .

Publisher: Online Science Publishing

1. INTRODUCTION

To a certain extent, the basic endowment insurance has changed the consumption level and consumption structure of residents. Therefore, it is of great practical significance to study the relationship between basic endowment insurance and resident’s consumption.

Based on different assumptions and theoretical models, scholars at home and abroad have carried out a large number of theoretical and empirical analysis. However, there is no unified understanding of the relationship between endowment insurance and resident’s consumption.

Early representative studies can be traced back to the 1960s. Arrow (1963) found that some residents’ pension needs can be stimulated to a certain extent due to the influence of "cognitive effect". That is, making pension plans dealing with the risk of aging (increase savings) will lead to the decrease of personal consumption. Hubbardb (1987) studied the impact of endowment insurance tax fees from the perspective of liquidity constraints, and found that the basic endowment insurance would reduce consumption expenditure in youth and increase consumption expenditure in middle-aged and old-aged people.

There are many foreign research results show that endowment insurance can promote consumption. Feldstein (1974) studied the data of the United States from 1927 to 1971 based on the method of time series analysis. The results show that endowment insurance can significantly reduce residents’ savings (about 30% - 50%) and thus improve residents’ consumption level. Zant (1988) revised the principle on the basis of Feldstein and analyzed the relationship between endowment insurance and total social consumption in the Netherlands from 1957 to 1986. The results show that endowment insurance would lead to an increase in consumption expenditure. Aydede (2007) also came to a similar conclusion after studying Turkish data. De Nardi et al. (2010) did research on saving behavior of the elderly and found that in the context of savings by the elderly to cope with the uncertainty of medical expenditure, endowment insurance medical projects do help to reduce savings. Engelhardt and Kumar (2011) analyzed the data of pension and lifetime income of old-age workers in 1992, and found that every $1 increasing in pension assets would reduce non-pension savings by 45-60 cents.

There are also neutral foreign research results. Stephens and Unayama (2012) used the monthly income and expenditure data of Japanese households. They found that the consumption level of retired residents did not increase significantly due to the differences in income and residents’ consumption concept. The impact of pension wealth on residents’ consumption expenditure was not obvious.

In a word, the conclusions drawn by foreign scholars tend to be that the establishment of social endowment insurance system and the increase of endowment insurance fund can promote residents’ consumption, but some scholars doubt this conclusion. It should be pointed out that these literatures can be used for reference, but they are still not enough to represent the reality of China.

The high savings rate in China has always attracted the attention of scholars at home and abroad. After more than 20 years of development, Chinese basic endowment insurance system has been initially established, but the inherent defects have not been well solved. Besides, Chinese commercial endowment insurance has developed slowly, and its function has not been developed well. Moreover, the main reason why the personal savings rate has been kept at a high level is that the Chinese residents mainly take preventive savings. The consumption expenditure is low and the consumption ideology is backward. Domestic scholars also start with empirical analysis, and select data from different provinces and municipalities to analyze the relationship between basic endowment insurance and residents’ consumption. Mainstream views can be summarized into two kinds.

Some domestic scholars believe that the social endowment insurance system can promote residents’ consumption. Mengzhen (2010) studied the cross-sectional data of China in 2005 and concluded that social endowment insurance has a significant role in promoting residents’ consumption, and the marginal propensity to consume brought by per capita endowment insurance expenditure is about 0.1. Yang and Chen (2010) made a detailed study of the panel data of 33 provinces and municipalities in China by using the improved consumption function model, and found that social insurance expenditure can increase consumption and increase by multiplier effect. Yu and Yao (2011) used the provincial panel data to study the relationship between social endowment insurance system and residents’ consumption based on the life cycle theory, and found that the former had a positive impact on the latter: the improvement of social insurance payment will increase residents’ consumption level. Compared with residents’ disposable income, the promotion of social pension on consumption appears to be less significant. Ning and Zheng (2016) analyzed the impact of delayed retirement benefits, and found that delayed retirement can increase the welfare level including consumption of urban workers when the pension contribution rate and pension treatment remain unchanged. Yi and Huang (2018) found that endowment insurance can significantly promote household consumption. Holding endowment insurance can increase household consumption by 13.4%. For families in different income levels, endowment insurance has no significant impact on consumption of high-income families, but has a significant positive impact on consumption of low-income families and middle-income families.

Another view is that basic endowment insurance will increase savings and reduce consumption. Yuan and Zhu (2002) based on the intergenerational overlapping model of life cycle theory, believed that the accumulation system had no effect on savings, but the pay-as-you-go system would reduce private savings to some extent. Later, he introduced some hypotheses, which strengthened the expression of personal life cycle theory on savings, but also had a negative effect: the explanation of the impact of private savings became not very clear. Then, the study on the factors of income redistribution within generations shows that the marginal substitution rate of assets will vary with different income levels. Low-income people will use most of their savings to meet the needs of the old-age life. High-income people will improve their savings to maintain the quality of life in the elderly. Thus total savings increase. Bai et al. (2012) used urban household survey data to make empirical research and concluded that raising the pension contribution rate would significantly inhibit the consumption of contributing households, and its impact on total consumption was negative.

The main contributions of this paper are as follows: Firstly, unlike the existing literatures, we use the extended life cycle model to conduct empirical research, to a certain extent, to avoid the shortcomings of "research hypothesis divorced from reality". In the research of the relationship between endowment insurance and residents’ consumption, the mainstream research at home and abroad is almost based on the life cycle model. This kind of research has achieved good empirical results, but inadequate. The life cycle model assumes that consumers will choose a reasonable and stable consumption rate, close to the average consumption of their expected lifetime. In fact, the assumption is too strict to be realistic. Unlike the life cycle model, the extended life cycle model takes two opposite forces of social security affecting savings into account: one is asset substitution effect that will crowd out savings; the other is retirement effect that may crowd in savings. Therefore, this paper overcomes the shortcomings of the life cycle model, and establishes the extended life cycle model according to the actual situation in China. Secondly, in research methods, we do not directly use mixed regression model, random effect regression or fixed effect model, but through strict selection (using clustering robust standard deviation, generalized least squares (FGLS) regression, Hausman statistics to identify), ultimately decide to use the optimal method. By doing so, we can avoid the research errors that may be caused by inappropriate research methods. It guarantees the rigor of the research to the greatest extent. Specifically, when comparing the mixed regression model with the fixed effect model, we find that the P value of F test is 0.0000, so we strongly reject the original hypothesis that the fixed effect model is superior to the mixed regression model. When comparing random effect model with mixed regression model, LM test strongly rejects the original hypothesis that there is no individual stochastic effect. It means the random effect model should be chosen. When comparing the fixed effect model with the random effect model, we use Hausman test. The results show that the fixed effect model is more effective than the random effect model. So we have reason to believe the results of the fixed effect model.

The following structure is arranged as follows: the second part is the research model and methods; the third part is data processing; the fourth part is empirical analysis; the last part is the conclusion and policy recommendations of this paper.

2. MODELS AND METHODS

2.1 Model Setting

In the selection of consumption function, the mainstream research abroad is basically based on life cycle model, and the introduction of endowment security variables, has achieved good empirical results. However, its research hypothesis is too harsh, and consumer consumption rate in reality is not necessarily stable. Based on this, this paper considers the two opposite forces of social security affecting savings (asset substitution effect and retirement effect), and establishes an extended life cycle model according to China's actual situation.

The following regression model is established:

where:

C = the per capita consumption expenditure of urban residents in each province (municipality)
α = alpha of the model
PWit =  the per capita basic endowment insurance fund expenditure variable of urban residents, measured by the ratio of the annual pension expenditure of urban residents in each province (municipality) to the number of retired workers
pgdpit = the per capita gross domestic product of each province (municipality)
Wi(t-1) = the per capita savings deposit of urban residents in the previous year
µit = error term

2.2. Analysis Method

Because it is a "short panel" data model, there is no need for stability test. We use clustering robust standard deviation, feasible generalized least squares regression (FGLS) and Hausman statistics to identify the pros and cons of panel data estimation methods. The specific selection process includes the following three aspects:

2.2.1. Comparison of Fixed Effect Model and Mixed Regression Model

Mixed regression analysis of panel data (see data from statistical description below) is carried out to obtain a mixed regression model. Because the mixed regression model ignores the unobservable heterogeneity, further analysis is needed.

Next, we estimate fixed effect model by clustering robust standard deviation and compare it with mixed regression model.

2.2.2. Comparison of Random Effect Model and Mixed Regression Model

We estimate random effect model with feasible generalized least squares (FGLS) regression and use LM test for individual-specific effects to compare the random effect model and the mixed regression model. If heterogeneity exists, the random effect model will be better than the mixed regression model.

2.2.3. Comparison of Fixed Effect Model and Random Effect Model

The advantage of fixed effect models is that heterogeneity is allowed to correlate with explanatory variables, while random effect is not allowed. If heterogeneity is not related to explanatory variables, the random effect is more effective. Hausman test can be used to compare fixed effect model with random effect model. If the Hausman statistics are at a significant level, the fixed effect model is better than the random effect model. On the contrary, the random-effect model should be adopted.

The exact choice of the model can only be determined through the strict comparison of the above three aspects. We find that the fixed effect model is superior to the mixed regression model and the random effect model (see Part 4 for a detailed comparison).

3. DATA SOURCE AND PROCESSING

This paper chooses macro panel data of urban residents in 31 provinces (municipalities directly under the Central Government) in China from 2006 to 2015 (data from the China Statistical Yearbook and the National Research Network database). The data used are annual data per capita of each province (municipality). In order to exclude the influence of price factors, they are recalculated at the same price in 2006.

Statistical analysis of the data is carried out using stata15.0 measurement software. Before empirical analysis, we first analyze the correlation between the data. After variance inflation factor (VIF) test, there is no multiple collinearity between the data.

By analyzing the scatter plot of variables, we can find that there is a significant positive correlation between the per capita endowment insurance expenditure and the per capita consumption expenditure of urban residents, and the linear fitting degree is good Figure 1.

Figure-1. The scatter plot of per capita consumption expenditure and per capita endowment insurance expenditure of urban residents.

Source: Wind.

At the same time, descriptive statistics are made on the distribution of the main variables in the model. The statistical indicators such as mean and standard deviation are shown in the following table Table 1.

Table-1. Descriptive statistical characteristics of variables.
Variable
 
Mean
Std. Dev.
Min
Max
Observations
C
Overall
13828.31
5252.39
6192.57
36511.45
N=310
 
Between
3368.54
10616.88
23881.98
n=31
 
Within
4070.75
4708.08
28328.74
T=10
PW
Overall
18721.48
6981.44
7573.21
48872.87
N=310
 
Between
3627.66
13901.46
30517.69
n=31
 
Within
5996.99
4454.98
37814.35
T=10
Pgdp
Overall
35765.90
21183.66
5750.00
107802.50
N=310
 
Between
17423.69
16129.36
77928.67
n=31
 
Within
12409.87
155.15
66996.62
T=10
W
Overall
5279.85
2877.81
814.07
20329.51
N=310
 
Between
1805.15
3396.73
10307.63
n=31
 
Within
2262.33
-619.03
15301.72
T=10

Source: Wind.

4. EMPIRICAL ANALYSIS AND RESULTS

4.1 Fixed Effect Model

We use stata15.0 measurement software to estimate formula 2-4 below.

A mixed panel data model for consumption expenditure is:

Here, i=1, 2, …, n; t=1, 2, …, T, α and βi (i=1, 2, 3, 4) do not change with the change of I, t. At the same time, it is assumed that the random error terms μ are independent of each other and satisfy the assumption that the mean value is zero and the variance is б2μ.

The panel data fixed effect model of consumer expenditure is as follows:

Among them, note αi*=αi+α as intercept term, i=1, 2, …, n; t=1,2, …, T; α and βi (i=1, 2, 3, 4) does not change with the change of i ,t. I is a fixed constant, with Var(qi)=0,and the change of αi is related to Wi(t-1), PWit and pgdpit. At the same time, it is assumed that the random error terms μit are independent of each other and satisfies the assumption that the mean value is zero and the variance is б2μ.

The panel data stochastic effect model of consumption expenditure is as follows:

Among them, αi is independent of μit, for all i and t, Wi(t-1), PWit, and pgdpit. These three independent variables are also independent of αi and μit; αi is a random variable of individual influence, and E(αi)=0,Var(αi)=бa2ee’,e=(1,2,3,4,)’ is T-dimensional column vector, μit is a random error term, satisfying

The regression results are shown in the following table Table 2.

Table-2. Panel data regression results.
Explained variable : lnC
Mixed Regression Model
Fixed Effect Model
Random Effect Model
lnPW
0.245950**
(2.58)
0.574670***
(9.84)
0.538934***
[10.62]
lngdp
0.234663***
(3.68)
0.227179***
(5.81)
0.243057***
[5.85]
lnW
0.271544***
(4.73)
0.055127*
(1.76)
0.067961**
[2.99]
intercept
2.351320***
(5.72)
1.043035***
(4.79)
1.120069***
[5.15]

Note: The value in parentheses is t, and the value in square brackets is z. The *** indicates that the estimation coefficient is significant at the level of 1%. ** indicates that the estimated coefficients are significant at the level of 5% and * at the level of 10%.

When comparing the mixed regression model with the fixed effect model, the P value of F test is 0.0000, so the original hypothesis is strongly rejected, that is, the fixed effect model is obviously superior to the mixed regression model. When comparing random effect model with mixed regression model, LM test strongly rejects the original hypothesis that there is no individual stochastic effect, that is to say, the random effect model should be chosen.

Next, when comparing the fixed effect model with the random effect model, we use the Hausman test. The results are shown in the following table Table 3.

Table-3. Hausman test results.
Test:H0: difference in coefficients not systematic
Chi2(4)=(b-B)’[(V_b-V_B)^(-1)](b-B)
=10.78
Prob>chi2=0.0291

Source: Wind, processed by Stata 15.0.

The P value of Hausman test is 0.0291, so the fixed effect model is more effective than the random effect model.

So far, we have reason to believe that the results of the fixed effect model are reliable.

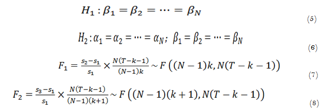
Then we test whether there are individual and structural effects in sample panel data. We mainly test the following original hypothesis H1 and alternative hypothesis H2 by constructing F1 and F2 statistics. Among them, F1 corresponds to the original hypothesis H1 and F2 corresponds to the alternative hypothesis H2. The specific form is as follows (formula 5-8):

where:

s1 = the sum of residual squares of variable coefficient model with individual influence and structural influence
s2 = the sum of residual squares of variable intercept model with individual influence but without structural influence
s3 = the sum of residual squares of invariant coefficient model without individual influence and structural influence
N = the number of sections
T = the number of periods
K = the number of explanatory variables.

If alternative hypothesis H2 is accepted, the sample panel data conforms to the invariant coefficient model with no individual influence and no structural influence; if alternative hypothesis H2 is rejected, the original hypothesis H1 needs to be further tested.

If the original hypothesis H1 is accepted, the sample panel data conforms to the variable intercept model with individual influence and no structural influence; otherwise, if the original hypothesis H1 is rejected, the sample panel data conforms to the variable coefficient model with individual influence and structural influence.

This paper uses Stata 15.0 to regress the sample data and finds that the sample panel data refuses H2 and accepts H1 at the 5% significant level, which means that the sample panel data conforms to the variable intercept model with individual influence but without structural influence.

Figure-2. Time Trend Map of Per Capita Consumption Expenditure in 31 Provinces (Municipalities).

Source: Wind.

Figure 2 shows that the trend of per capita consumption expenditure in all provinces (municipalities) is basically the same, but the intercepts are different. There is no structural difference in per capita consumption expenditure, but there is individual heterogeneity in variables, which is consistent with the conclusions of F1 and F2 statistics.

To sum up, it is appropriate to establish a fixed effect variable intercept model between the explained variable (per capita consumption expenditure of urban residents) and the explanatory variables (per capita GDP, per capita savings deposit of urban residents in previous year, per capita basic endowment insurance fund expenditure). Moreover, from the empirical results, we can see that the per capita basic endowment insurance fund expenditure of urban residents has a positive correlation with per capita consumption expenditure. When the per capita basic endowment insurance fund expenditure of urban residents increases by 1 percentage point, the per capita consumption expenditure will increase by 0.5747 percentage points (significant at 1% level). The impact of the development of basic endowment insurance on residents' consumption can be divided into two types: one is "wealth substitution effect", that is, the higher the development level of endowment insurance, the lower the uncertainty of residents' future life security. Part of the preventive savings in the current period will be converted into actual consumption, which will promote the rise of consumption level in the current period; the second is "leading to retirement effect". That is to say, the basic endowment insurance will use more income as savings by strengthening the willingness of residents' savings to reduce current consumption expenditure. As China's household savings rate has been in the forefront of the world for a long time, the "wealth substitution effect" of basic endowment insurance in China is stronger than the "retirement effect". Therefore, the development of basic endowment insurance has a significant positive role in promoting the level of residents' consumption.

There is a positive correlation between per capita GDP and per capita consumption expenditure of urban residents. For every percentage point increase in the per capita GDP of urban residents, the per capita consumption expenditure will increase by 0.2272 percentage points (significant at 1%). This shows that the increase of per capita GDP improves the level of national economy, the income of residents, the consumption ability of residents, and the consumption level.

There is a positive correlation between per capita savings deposit in previous year and the per capita consumption expenditure of urban residents. If the per capita savings deposit of urban residents increased by 1 percentage point previous year, the per capita consumption expenditure increased by 0.0551 percentage point (significant at the level of 10%). The wealth effect brought by a certain scale of savings can promote consumption growth, which has a stable and sustainable pulling effect on economic growth.

4.2. Robustness Test

In the final fixed effect variable coefficient model, we use the urban per capita basic endowment insurance fund expenditure to measure the impact of the basic endowment insurance system on the per capita consumption expenditure of urban residents. Because the single variable of urban per capita pension fund expenditure is limited to reflect the basic endowment insurance system, two variables of urban basic endowment insurance coverage rate and contribution rate will be added in the robustness analysis with the same time and provinces and municipalities. The robustness test results are shown in the following table Table 4.

Table-4. The impact of basic endowment insurance on urban residents’ consumption.
Explained variable: lnC
Fixed Effect  Model
Robustness Test 1
Robustness Test 2
Robustness Test 3
lnPW
0.574670***
(9.84)
0.563781***
(8.97)
0.104555*
(1.94)
0.406282***
(6.21)
lngdp
0.227179***
(5.81)
0.232634***
(5.31)
0.255315***
(6.71)
lnW
0.055127**
(1.76)
0.054639*
(1.72)
-0.092608***
(-2.96)
0.071566**
(2.58)
coverage
0.081852
(0.79)
rate
-0.395588
(-0.67)
lnincome
0.940454***
(15.14)
lnh
0.079477***
(5.13)
constant
1.043035***
(4.79)
1.093626***
(4.62)
-0.004614
(-0.03)
1.680524***
(7.46)

Note: The value in parentheses is t. The *** indicates that the estimation coefficient is significant at the level of 1%. ** indicates that the estimated coefficients are significant at the level of 5% and * at the level of 10%.

The results of robustness test 1 in Table 4 show that after adding two variables, the coverage rate and contribution rate of urban basic endowment insurance, the variables of urban residents’ per capita basic endowment insurance fund expenditure, per capita GDP and per capita savings deposit are still significant, and the signs of their coefficients have not changed. It shows that adding these two variables to the original model has no effect on other variables.

It should be pointed out that the variables of coverage rate and contribution rate of urban basic endowment insurance are not significant in empirical analysis. There is a positive correlation between coverage rate of urban residents’ basic endowment insurance and per capita consumption expenditure of residents. There is a negative correlation between contribution rate of urban residents’ basic endowment insurance and per capita consumption expenditure of residents. That is, increasing coverage rate of urban residents’ basic endowment insurance will promote the current consumption of residents, while raising the rate of urban residents’ basic endowment insurance contribution will restrain the current consumption of residents.

This result can be explained by two opposite mechanisms of social security system affecting residents’ consumption behaviors. On the one hand, as a social security system arrangement, the commitment of urban basic endowment insurance can help residents form a safe and stable expectation of the elderly life, thus reducing preventive savings and increasing current consumption. So, improving the coverage rate of basic endowment insurance can help more residents to reduce preventive savings. On the other hand, the premise of payment is that residents contribute before they retire, which means that the decreasing current income causes decreasing current consumption. In China, the contribution rate of endowment insurance is high, even higher than that of some developed countries. Therefore, increasing the contribution rate of urban basic endowment insurance will crowd out some disposable income of current families and make residents reduce current consumption.

In the robustness test 2, we replace "per capita GDP of urban residents" with "per capita disposable income of urban residents". The significances of variables in the model are significant at the level of 10%. The signs of the variables of urban per capita pension fund expenditure remain unchanged, while the coefficient of urban per capita savings deposit changes from positive to negative. This is because on the premise of fixed disposable income, the more savings residents save, the less expenditure they spend on consumption.

Through the robustness test 2, we find that the marginal propensity to consume of per capita basic endowment insurance expenditure is less than the disposable income per capita on residents’ consumption expenditure in the current period. That is, if urban per capita basic endowment insurance fund expenditure increases by 1%, urban per capita consumption expenditure will increase by 0.105%. However, per capita disposable income of urban residents in the current period increasing by 1%, their consumption expenditure will increase by 0.940%, which is eight times bigger than urban per capita basic endowment insurance fund expenditure. Thus, compared with basic endowment insurance fund expenditure, residents’ income level has a greater impact on current consumption. Therefore, even though the basic endowment insurance expenditure and expanding the coverage of the basic endowment insurance increase, we also need to improve the income distribution system and expand the income sources of residents in order to more effectively promote residents to increase consumption expenditure.

In the robust regression 3, we add the per capita housing expenditure of urban residents to the original model. Considering Chinese ideology of consumption, residents tend to increase housing expenditure to purchase real estate, so the housing expenditure of urban residents is included in the robustness test. The empirical test results show that after adding this variable, the signs and significance of other variables remain unchanged. The per capita housing expenditure of urban residents is significant at the level of 1%. If the per capita housing expenditure of urban residents increases by 1%, the per capita consumption expenditure of urban residents increases by 0.079%.

According to the robustness tests above, when the variables are added or the measures of variables are changed, the signs of coefficients and significance of other variables in the model remain unchanged, or the sign of coefficient changes are of economic significance. Therefore, the model is robust.

5. CONCLUSION

Based on the extended life cycle model, this paper uses panel data to establish a fixed effect variable coefficient model to study whether urban basic endowment insurance can promote residents’ consumption. The empirical data of 31 provinces (municipalities) from 2006 to 2015 show that the basic endowment insurance system of urban residents can promote residents’ consumption. Increasing every 1% in basic endowment insurance expenditure of urban residents, the consumption expenditure of urban residents will increase by 0.575%. Increasing the expenditure of residents’ basic endowment insurance fund will significantly stimulate residents’ consumption. The most important factor affecting the current consumption level of urban residents is the per capita disposable income. The variable shows a significant positive effect in the empirical results. For every 1% increasing in urban residents’ current disposable income, urban residents’ consumption expenditure increases by 0.940%, which is more influenced than the impact of basic endowment insurance fund expenditure on explained variable. It indicates that the level of residents’ disposable income is still an important factor affecting the current consumption of urban residents in China. There is a positive correlation between per capita housing expenditure and residents’ consumption. When per capita housing expenditure of urban residents increases by 1%, the consumption expenditure of urban residents increases by 0.079%. Increasing the housing expenditure of urban residents can weakly promote the current consumption level of residents. Per capita GDP of urban residents can also promote the consumption expenditure of residents. If the per capita GDP increases by 1%, the consumption expenditure of urban residents increases by 0.227%. This shows that improving the level of economic development in China will promote the consumption expenditure of urban residents.

According to the research results above, this paper puts forward the following policy suggestions: increase the basic endowment insurance expenditure, the coverage rate of basic endowment insurance and the social security system. Expand the income sources of residents and improve the income level of residents, the social redistribution system and the fairness of income distribution. Reduce the fragmentation and discontinuity of policy changes. Decrease the uncertainty of social security influenced by residents. Enhance the residents’ confidence to consume in order to release their potential consumption.

REFERENCES

Arrow, K.J., 1963. Uncertainty and the welfare economics of medical care. The American Economic Review, 53(5): 941-973.

Aydede, Y., 2007. Saving and social security wealth: A case of Turkey (No. 2007-WP-03). Indiana State University, Scott College of Business, Networks Financial Institute.

Bai, C., B. Wu and Y. Jin, 2012. Effect of the old-age insurance contribution on consumption and savings. Social Sciences in China, 2012(8): 48-71+204.

De Nardi, M., E. French and J.B. Jones, 2010. Why do the elderly save? The role of medical expenses. Journal of Political Economy, 118(1): 39-75.Available at: https://doi.org/10.1086/651674.

Engelhardt, G.V. and A. Kumar, 2011. Pensions and household wealth accumulation. Journal of Human Resources, 46(1): 203-236.Available at: https://doi.org/10.1353/jhr.2011.0020.

Feldstein, M., 1974. Social security, induced retirement, and aggregate capital accumulation. Journal of Political Economy, 82(5): 905-926.Available at: https://doi.org/10.1086/260246.

Hubbardb, J.K., 1987. Social security and individual welfare: Precautionary saving, liquidity constraints and the payroll tax. The American Economic Review, 77(4): 630-646.Available at: 10.3386/w1736.

Mengzhen, C., 2010. Social security and urban household consumption: Theorical analysis and empirical test. Social Security Studies, 2010(1): 59-69.

Ning, L. and C. Zheng, 2016. Does delayed retirement age lead to the increase in social welfare? Journal of Financial Research, 42(8): 27-39.Available at: 10.16538/j.cnki.jfe.2016.08.003.

Stephens, J.M. and T. Unayama, 2012. The impact of retirement on household consumption in Japan. Journal of the Japanese and International Economies, 26(1): 62-83.Available at: https://doi.org/10.1016/j.jjie.2011.08.001.

Yang, H. and W. Chen, 2010. Empirical research of the relationship between government endowment insurance expenditure and consumption-take the panel data of townsfolk for example. Journal of Social Security Research, 3: 3-13.Available at: 10.3969/j.issn.1674-4802.2010.03.001.

Yi, X.-J. and Y. Huang, 2018. The different influences of basic endowment insurance on different urban household consumption: Empirical test based on CFPS data. Journal of Xiangtan University (Philosophy and Social Sciences), 42(2): 74-82.Available at: 10.3969/j.issn.1001-5981.2018.02.014.

Yu, B. and X. Yao, 2011. The impact of China's endowment insurance on household consumption-an empirical study based on panel data of urban residents. Financial Perspectives Journal, 8: 9-14.Available at: 10.3969/j.issn.1007-0753.2011.08.015.

Yuan, Z. and G. Zhu, 2002. Income distribution and total consumption in consumption theory: An analysis of the poor consumption of China. Social Sciences in China, 2010(2): 69-76.

Zant, W., 1988. Social security wealth and aggregate consumption: An extended life-cycle model estimated for The Netherlands. De Economist, 136(1): 136-153.Available at: https://doi.org/10.1007/bf02078542.

Online Science Publishing is not responsible or answerable for any loss, damage or liability, etc. caused in relation to/arising out of the use of the content. Any queries should be directed to the corresponding author of the article.