Two types of corroded medium, acid and SRB, could be evaluate novel aziridinium, pyrrolium and azepanium quaternary ammonium salts as corrosion inhibitors at the concentration range of 500 - 100 ppm in 1M HCl. Quaternization of a series of heterocyclic amines with 4-nonyl phenol in the presence of aqueous sodium hydroxide under phase transfer conditions in chloroform as a solvent was performed (Scheme 1). Active ingredients of those inhibitors included long chain hydrocarbon heterocyclic amines were confirmed using FTIR, 1H NMR, and elemental analyses. The results, which include the corrosion and electrochemical testing data, showed that tested corrosion inhibitors In1 - In4 are effective in studied range of concentration and the corrosion effectiveness of tested quats increases toward In1- In3 with increase the number of member rings. The galvanostatic polarization curves showed that, the inhibitor behaves as mixed type. The observed corrosion data indicate that, the inhibition of carbon steel corrosion is due to the adsorption of the inhibitor molecules on the surface, which follow Langmuir adsorption isotherm. By fitting the obtained experimental data with Langmuir adsorption model, some thermodynamic and kinetic parameters such as adsorption free energy, Gads, equilibrium constant, Kads, were estimated. Apparently, the polar group makes it possible to lengthen the hydrophobic fragment of the inhibitor without significantly disturbing its hydrophilic–lipophilic balance and thus make the inhibitor not only more hydrophobic but also more soluble in water, which enhances its technological properties. For evaluation of SRB inhibition efficacy, microbial activity was monitored and cell counts were determined. All inhibitors were able to reduce microbial activity. The growth of the reference SRB (Desulfomonas pigra) was shown to be completely inhibited by In1- In3. In contrast, In4 had only a slight effect as being due to the presence of pyrrolium cation which may also be achieved due to decreasing the protective effect process. In this work, the thermodynamic parameters for adsorption and activation processes were determined; the following formulation properties are considered: the surface tension at cmc (γcmc), critical micelle concentration (cmc) of the surfactants in aqueous solutions, saturated adsorption amount of the surfactant (Г∞) and the minimum average area per surfactant molecule (Amin) at the air–water interface. On the bases of the result of small saturated adsorption amount and the large minimum average area per surfactant molecule, it is indicated that the minimum average area of surfactant decreases with the enhanced hydrophilic character of the molecule. A direct relationship has found between the corrosion efficacy (% IE) and Г∞.
Scheme 1
(In4) (In3)
1-hexadodecyl-1-(4-nonylphenyl)-2,5-dihydro-pyrrolium 1-hexadodecyl-1-(4-nonylphenyl)azepanium
Keywords: MIC, Biofilm, Sulfur compounds, Metals, Ennoblement, Galvanostatic polarization.
DOI: 10.20448/807.3.1.43.55
Citation | Hanan E.S. Ali (2017). Phase Transfer Synthesis of Novel Based Surfactants: Role of Biocorrosion Inhibition. Global Journal of Social Sciences Studies, 3(1): 43-55.
Copyright: This work is licensed under a Creative Commons Attribution 3.0 License
Funding : This study received no specific financial support.
Competing Interests: The author declares that there are no conflicts of interests regarding the publication of this paper.
History : Received: 25 May 2017/ Revised: 16 June 2017/ Accepted: 19 June 2017/Published: 22 June 2017
Publisher: Online Science Publishing
The biocorrosion of metals is a serious economic problem. The economic value of biocorrosion must amount on a worldwide scale to several billions of Euro annually (Beech and Tapper, 1999). If by improved diagnosis, materials selection, modification of environmental conditions, etc a part of this sum could be saved, a considerable amount of money would become available for other, more useful purposes (Gehrke et al., 1998). Two types of corrosion need to be distinguished: localized and flat-spread corrosion (Von Re`Ge and Sand, 1999).
Localized corrosion develops preferentially under aeration or concentration elements. This may result from a microcolony under which, due to its oxygen consumption by metabolism anaerobic zones develop, whereas the adjacent surface without microcolony remains aerobic. Consequently, under the microcolony an anode is formed and the adjacent area becomes cathodic. Dissolution of the metal may result. Also iron(III) hydroxide precipitates (tubercles) often cause localized corrosion, although the tubercles may be only an indication of the corrosion process, not the reason. Flat-spread corrosion phenomena have often been found to be associated with SRB under biofilms and/or the presence of acid-forming microorganisms. SRB promote corrosion by the formation of their endproduct sulfide, which reacts with the anodically produced iron(II) ions to nearly insoluble iron sulfide. The latter acts, if in contact with the metal, as an enlargement of the cathode, thus enhanced the corrosion. Especially in connection with metal biocorrosion bacteria of the sulphur, nitrogen, iron, and manganese cycles play an important role. The typical metabolism products corresponding with the growth of such microorganisms as sulphur, reduced sulphur compounds (thiosulphate, sulfide, polythionate) and nitric oxide as well as iron(III) and manganese-IV-ions show in general strong corrosive properties since they support the cathodic subprocess of the metal dissolution directly due to their high oxidation potential (Sand and Gehrke, 2004). On the other term, the adsorption is the formation of a layer of gas, liquid or solid on the surface of a solid or liquid (Landaus et al., 2008). A distinction is made between chemisorption, where the attachment is caused by chemical bonds, and physisorption, where the adsorption is due to attractive forces like van der Waals forces. The two main forces resulting in physisorption type of adsorption are:
Hydrophobic force:The strong interaction between water molecules results in a repulsion of the alkyl chain from the aqueous phase. This force will always be present and favor the adsorption. Electrostatic forces:A negatively charged surface will attract cationic surfactants and repel anionic surfactants while a positively charged surface will do the opposite. The adsorption process can be investigated by methods like depletion method, ellipsometry,surface plasmonresonance and quartz crystal microbalance. In the depletion method (Chamritski et al., 2004) the surface excess is determined by measuring the depletion of surfactant in the aqueous solution after adsorption to a surface of large area. This method requires a known surface area, and yield equilibrium values of the surface excess. The chemistry of corrosion inhibitors surfactants was visualized. The structures were found to be similar to the bulk aggregates (Féron and Roy, 2000). For special cases it is possible to have a bilayer adsorbate, namely if the packing of the molecules is analogous to that of the lyotropicliquid crystalline phases with a lamellar structure (Marconnet et al., 2005). The classification of corrosion inhibitors into cathodic, anodic and mixed ones implies that there is a relationship between the protection mechanism and the changes in electrochemical kinetics caused by these compounds (De La Rosa and Yu, 2005). In most cases, passivating inhibitors suppress the anodic dissolution of metals, but passivation may also be achieved due to acceleration of the cathodic reaction by an inhibitor, as is the case in passivation of iron with dinitrobenzoate anion (Salvago and Magagnin, 2001). Corrosion inhibitors can also passivate a metal if they form hardly soluble salts or complexes with its ions. If strong bondsbetween higher carboxylate anions and the metal are formed, passivation may be provided by the adsorption of the inhibitor, as was first observed in sodium N -phenylanthranilate (SPA)solutions (Yang and McCrery, 2000).
The adsorption process of a model corrosion inhibitor, alkyltrimethylammonium bromide, onto iron and cementite surfaces has been investigated by Riggs, O.L. It has also been demonstrated how the surface aggregate structure could be manipulated to be film-forming by addition of a surfactant (Riggs et al., 2001). In contrast, study of the protective effects of 100 ppm aliphatic tertiary diamines approached 66 to 89 % protective values by Murav’eva et al. (2003).
2.1. Materials
Heterocyclic amines (1-Dodecylaziridine, 1-Hexadecylaziridine, 1-Hexadecyl-2,5-dihydro-pyrrole, and 1-Hexadecylazepane) and PTC were synthesized following a previously reported work (Hanan, 2008). All studied compounds (Scheme 1) were synthesized according to published methods (Hanan, 2007). 4-Nonyl phenol was obtained from El-Nasr chemicals. All other reagents and solvents were of high purity and used as purchased without any further purification.
2.2. Synthesis Procedure
Heating under phase transfer condition of 1-Dodecylaziridine, 1-Hexadecylaziridine, 1-Hexadecyl-2,5-dihydro-pyrrole, and 1-Hexadecylazepane at 70oC with 4-Nonyl phenol as alkylating agent in a three-phase system consisting of an organic solvent (chloroform) and 15% aqueous sodium hydroxide solution leads to the formation of the compounds 1-Dodecyl-1-(4-nonylphenyl)aziridinium, 1-Hexadodecyl-1-(4-nonylphenyl)aziridinium, 1-Hexadodecyl-1-(4-nonylphenyl)-2,5-dihydro-pyrrolium, and 1-Hexadodecyl-1-(4-nonylphenyl)azepanium, respectively, in good yields. All the products were separated and dried (Hanan, 2007).
2.3. Method of Analysis
Elemental analyses were performed using a Varian Elemental and in satisfactory agreement with the calculated values. FT-IR spectra were recorded on a Perkin Elmer- spectrum one spectrophotometer in the 4000-400 cm-1 range using KBr pellets. 1H NMR spectra were recorded on Varian Gemini 200 MHz (National Research Center, Cairo, Egypt). Surface tension measurements were performed using a Du Nouy Tensiometer (KRUSS K6 Type 4851) with a platinum ring, using the procedure provided by du Nouy.
2.4. Methodology of SRB
Tube dilution test for determining the minimum inhibitory concentration (MIC) & minimum lethal concentration (MLC):
3.1. Galvanostatic Polarization Method
Measurements were performed with the use of a Voltalab 40 PGZ 301 potentiostat. Voltammeograms were recorded at a polarization rate of 10 mV/s. The corrosion rate was monitored in the setup electrochemically and gravimetrically.
Several evaluations were performed when corrosion inhibitors were added into electrolyte such as corrosion potential (Ecorr), cathodic and anodic Tafel slopes (bc, ba) and corrosion current density (icorr) obtained by extrapolation of the Tafel lines. Aluminum electrodes were cut from the aluminum sheets. The electrodes were of dimensions 1cm x 1cm and were weld from one side to a copper wire used for electric connection. Two methods are in general use for the determination of the corrosion current density (icorr), which is a measure of corrosion rate.
These methods are Stern-Geary (Washizu et al., 2001) method and intercept (Olsen et al., 2000; Linhardt, 2006) method and they are based on anodic and/ or cathodic Tafel curves. Stern-Geary method used for the determination of corrosion current is performed by extrapolation of anodic and cathodic Tafel lines of charge transfer controlled corrosion reactions to a point which gives log (icorr) and the corresponding corrosion potential (Ecorr) for inhibitor free acid and for each concentration of inhibitor. Then icorr was used for calculation of inhibition efficiency and surface coverage (q).
% IE = [1 – ( icorr (inh)/ icorr (free))] x 100 (1)
q = [1 – ( icorr (inh)/ icorr (free))] (2)
where icorr (free) and icorr (inh) are the corrosion current densities in absence and presence of inhibitors.
4.1. Structural Analyses and Reaction Progress of the Synthesized Inhibitors
The structures of the synthesized aziridinium, pyrrolium and azepanium quaternary ammonium salts have been identified by means of IR, 1H NMR, and elemental analyses (Tables 1, 2 & 3). The analytical results that the chemical structures of the cationic surfactants obtained have conformed to the originally designed molecular structures.
For the three reaction systems LLL-PTC, the reaction between the heterocyclic amine and nonyl phenol as an alkylating agent progress under phase transfer conditions. The experiments show three kinds of phase appeared when aqueous sodium hydroxide solution and PTC were added. The third liquid phase is formed with different two solvent (CHCl3 and H2O) and depends both on the aqueous sodium hydroxide concentration as well as CHCl3 addition. These results suggest that substantial quantity of CHCl3 may be dissolved into the organic phase during the reaction until the organic phase depleted whereas the semi-solidification occurred. This is because the CHCl3 moderated the properties of the third phase which could prevent its solidification (Maw-Ling and Yao-Hsuan, 2003; Kazem and Mirzaagha, 2005; Sharma et al., 2005) . Treatment of nonyl phenol with chloroform (trichloromethane) in the presence of hydroxide ion results in the synthesis of dichlorocarbene: CCl2, and the phenoxide ion that is sufficiently nucleophilic to be attacked by amines. The inhibition performance of the polycation-surfactant complex was found to be significantly better than a comparable film-forming system.
| Table-1. Elemental analyses data for the titled surfactants | ||||||
| Inhibitor | MF | MW | Analysis data calc / found % | |||
| C | H | N | O | |||
| In 1 | C29H53NO | 431 | 80.0 | 12.3 | 3.2 | 3.7 |
| In 2 | C33H61NO | 487 | 81.3 | 12.5 | 2.9 | 3.3 |
| In 3 | C37H69NO | 543 | 81.9 | 12.7 | 2.6 | 2.9 |
| In 4 | C35H63NO | 513 | 81.9 | 12.3 | 2.7 | 3.0 |
| Table-2. 1H-NMR data (δ, ppm). | ||||||||||
Inhibitor |
t,CH3- | m,-CH2-CH2- | m,-CH2-CH2-CH2 | m,(CH2)n | m,CH2-CH2-N+ | t,-CH2-N+ | CH2 (azepane) |
CH2 (aziridine) |
CH2 (pyrrolium) |
CH=CH (benzene) |
| In 1 | 0.98 | 2.6 | 1.62 | 1.28 | 1.7 | 3.3 | t, 3.98 | m, 7.6-8 | ||
| In 2 | 0.95 | 2.6 | 1.62 | 1.28 | 1.8 | 3.3 | t, 3.98 | m, 7.6-8 | ||
| In 3 | 0.96 | 2.6 | 1.62 | 1.3 | 1.7 | 3.24 | m, 1.3 -m, 1.7- t, 3.24 | m, 7.6-8 | ||
| In 4 | 0.97 | 2.6 | 1.62 | 1.28 | 1.7 | 3.5 | d, 3.9- m, 5.4 | m, 7.6-8 | ||
| Table-3. Selected IR frequencies (cm-1). | |||||||||
Inhibitor |
ν (N-tert.) | ν(N+-tert.) | ν(CH2-stret.) | ν(N+-bend.) | ν(N-cyclic) | ν(CH2-bend.) | ν(N-C) | ν(Para-) | ν(CH=CH) |
| In 1 | 3400 | 3252 | 2929,2853 | 1798 | 1549 | 1458 | 1119 | 1034 | 1641-553 |
| In 2 | 3438 | 3062 | 2921-2854 | 1774 | 1541 | 1459 | 1118 | 1058 | 1662-556 |
| In 3 | 3412 | 3047 | 2923-2850 | 1798-1839 | 1541 | 1450 | 1113 | 1032 | 1667-547 |
| In 4 | 3435 | 3049 | 2939-2856 | 1784 | 1546 | 1451 | 1116 | 1030 | 1666-540 |
4.2. Surface Tension and Surfactant Parameters
The surface tensionisotherms of solutions of the new surfactant compounds(In1 – In3), given in Figure 1, show characteristic shapes. The surface tension isotherms were used to determine surfactant parameters of the new compounds: CMC, surface tension at CMC (γcmc), and maximum surface excess (Гmax). The data of these parameters are summarized in Table 4 which revealed that inhibitors 2, and 3, begin with amuch decrease of surface tension at very low concentrations, compared to inhibitor 1. Theminimum levels of surface tension caused by addition of the synthesizedinhibitors are lowest for In 2 (28 mN m−1), while being31 and 35 mN m−1 for inhibitors 1 & 3, respectively.Prior to inhibitors 1, 2, and3, the slopes of surface tension reduction change to horizontalandranging from 1.166 to 1.947. The CMC for compounds 1–3, derivable from high concentration points of inversion of the respective surface tension isotherms (Figure 1), range from a minimum value of 1.3 x 10−3 mol L−1 for compound 3 to a maximum value of 2.4 x 103 mol L−1 for compound 1.
Values of the maximum surface excess (Γmax) of the saturated interface were calculated in a typical way from the linear part of the surface tension isotherm, according to Gibbs’s equation in the form (Tebo et al., 2004; Washizu et al., 2004; Elewady et al., 2008) :Гmax = -dγ/ 2.303RT dlog C (1)
where γ = surface tension, C= concentration of the surfactant below CMC, T= absolute temperature, and R= gas constant.
The cross-sectional molecular area (Amin) per molecule can be calculated from the following equation:
Amin = 1018 / NAГ∞ (2)
Here NA is the Avogadro constant.
This shows again that constructing relations between Γmax and the structure of a surfactant molecule is a problem since other parameters such as solubility in the bulk phase or intermolecular interactions also correlating with the dimensions and geometry of the surfactant molecules have to be taken into consideration. Actually, these data are clearly aligned with the structural features of the new surfactants. Here, the micellization process is dominated by the hydrophobic content of the surfactant molecule.
| Figure-1. Relationship between logarithm of concentration and surface tension of the prepared inhibitor at 25°C. |
| Table 4. Surface and adsorption parameters of In1 – In4 at 25oC | ||||
| Surface Parameters | In1 | In2 | In3 | In4 |
| γcmc (mN m−1) | 35 | 28 | 31 | ------ |
| slope | 1.242 | 1.166 | 1.947 | ------ |
| cmc ( mol L−1) | 2.4 x 10-3 | 2 x 10-3 | 1.3 x 10-3 | ------ |
| Amin (nm2) | 7.65 | 8.30 | 4.90 | ------ |
| Г∞ (mol m-2) | 2.18 x 10-11 | 2 x 10-11 | 3.4 x 10-11 | ------ |
4.3. Surfactant Adsorption
Of prime importance is the fact that the adsorption of monomers is electrostatically driven, different techniques have shown that In 1-3 were adsorbed with the head-group towards the surface while the hydrocarbon tail protrudes into the solution (Laurier, 2000). The adsorption of surfactant continues with the hydrophilic group protruding into the solution and the hydrocarbon tail mingling with the adsorbed monomers, driven by the hydrophobic force, until the surface is saturated. Surfactants will form surface aggregates for the same reason they form aggregates in the bulk solution. The system gain energy in reducing the contact area between the carbon chains and the aqueous surroundings. This energy gain is the driving force for the process. The structure of the aggregate is partly determined by the molecular packing parameter.
Further increases in surfactant concentrations result in other types of aggregates such as lamellar structures and rode-like micelles that can form in solution as well as analogous bilayers and/or multilayers that form at interfaces (Müller et al., 2001; Tomokazu et al., 2004). Surfactants with highly charged head groups (In 3) form spherical micelles in the bulk solution. When adsorbed onto surfaces with which the interaction is small, the surface aggregates will be oblate spheres. However, if the interaction with the surface is strong this may influence the geometry (Sizaya and Andrushko, 2004).
4.4. Biocorrosion Estimation
The problem with MIC is to understand once the biofilm has been formed how metabolic activities of cells induce modifications to be passive layer and how such modifications result in changes to the rates of the corrosion processes (Busalmen et al., 2002; Lai and Bergel, 2002). The modifications in the properties of the iron steel/inhibitor layer in natural waters depend strongly on the bacterial population. Therefore, SRB inhibition depletion increased by the electrochemical properties of the passive layer, the corrosion mechanism based on the change of the hydrogenase activity (molecular hydrogen- activating enzyme) which removes hydrogen from the surface of Fe in order to reduce sulfate (Lai and Bergel, 2002; Tebo et al., 2005).
Tables 5 & 6 showed that SRB population; affect strongly the chemical compositions of the used inhibitors. Results showed a significant increase of the protective effect against SRB in case of In1, In2 & In 3 reached to the optimum. Furthermore, no effect was observed by SRB in the presence of In 4.
| Table-5. SRB count (CFU/ ml sample) | ||||
| Conc. | In1 | In2 | In3 | In4 |
| 10-1 | 00.00 | 00.00 | 00.00 | 231 |
| 10-2 | 00.00 | 00.00 | 00.00 | 1.25x103 |
| 10-3 | 00.00 | 2.15x103 | 128 | 4.31x103 |
| 10-4 | 5.21x103 | 4.45x103 | 4.63x103 | 6.28x103 |
| 10-5 | 6.98x103 | 6.67x103 | 5.98x103 | 7.09x103 |
| Control | 7.65x103 | 7.65x103 | 7.65x103 | 7.65x103 |
|
||||
| Table-6. Partial Lethal Concentration (lC50), Minimum Inhibition Concentration (MIC) and Inhibition Efficiency (P%) of In1 – In4 | ||||
| Inhibitor | In1 | In2 | In3 | In4 |
| LC (μg/ml) | 10-1 , 10-2, 10-3 | 10-1 , 10-2 | 10-1, 10-2 | |
| MIC | 0.00087 | 0.0084 | 0.0024 | 0.1720 |
| P% (10-4) | 32.00 | 41.80 | 39.50 | |
| P% (10-3) | 100 | 72 | 98 | |
| P% (10-2) | 100 | 100 | 100 | |
4.5. Potential Ennoblement
| Table-7. Electrochemical corrosion parameters of In1 – In4 in 1M HCl solution (io = 1.1025 mA\cm2) | |||||||||||||
| In. Conc. (ppm) |
In1 | In2 | In3 | In4 | |||||||||
| icorr mA\cm2 |
q | Ei (mV) |
% IE | icorr mA\cm2 |
q | Ei (mV) |
% IE | icorr mA\cm2 |
q | Ei (mV) |
% IE | ||
| 500 | 0.0975 | 0.91 | -588.8 | 91.2 | 0.1219 | 0.90 | -559.9 | 90.0 | 0.0807 | 0.93 | -509 | 92.7 | |
| 400 | 0.1155 | 0.90 | -596.1 | 89.5 | 0.1285 | 0.88 | -568.4 | 88.3 | 0.1786 | 0.84 | -521.9 | 84.4 | |
| 300 | 0.1899 | 0.83 | -602 | 82.8 | 0.1306 | 0.88 | -572.4 | 88.2 | 0.1786 | 0.84 | -550.9 | 83.8 | |
| 200 | 0.1977 | 0.82 | -604 | 82.0 | 0.1325 | 0.88 | -575.6 | 88.0 | 0.2216 | 0.80 | -564.3 | 80.0 | |
| 100 | 0.1993 | 0.82 | -612 | 81.9 | 0.1910 | 0.83 | -579.8 | 83.0 | 0.2508 | 0.77 | -570.6 | 77.0 | |
On the basis of the rate of potential mainly affected and increased by biological and physicochemical factors, the corrosion of iron steel has investigated by the presence of new four inhibitors, In 1-4. The free corrosion potential (Ecorr) is the first indicator used to characterize the influence of the prepared inhibitors on the electrochemical behavior of iron steel. During a 30-minute immersion period in 1M HCl, potential ennoblement progressed until the Ecorr reached high values in the presence of In 1-3 (Table 7). In the case of In 4, the chemical composition and the microstructure of iron steel have no influence on the tendency of the metal to ennoble as long as it is able to from a passive layer due to the poor solubility of such compounds in water. From the results shown in Table 7, it is clear that at the same inhibitor concentration, the effectiveness of the selected surfactants as corrosion inhibitors (% IE) is increased by increasing both the number of methylene units (at low concentration) and the number of member rings (at high concentration). Consequently, in the context of corrosion inhibition using surfactants, the critical micelle concentration marks an effective boundary condition below which surfactant adsorption is typical below the monolayer level, and above which adsorption can consist of multiple layers of surfactant (Miyata et al., 2004).
Contrary to previous observations, the Ecorr ennoblement doesn’t play a direct role. This study was discussed experimentally by monitoring Ecorr at five different concentrations: 100-500 ppm (Figure 2). The results at the range 100-300 ppm, there is a significant inhibition with increasing methylene unit rather than the number of member rings. Similarly to the findings inhibition of In 2 compared to In1 and In3 at the concentration range100-300 ppm was shown. At these concentrations, as the surfactant molecules increases, the tendency for physical adsorption and aggregation increases, and the associated aggregation or adsorption is evidenced by decreasing surface tension. Further increases in surfactant concentration (at 500 ppm) of In 3 lead to a gradual increase in the following order 3>1>2. This trend may result from the fact that adsorption and surface coverage increases with the increase in concentration. The dependence of the protective effects of the amines on their concentrations necessitates prompt supply of an inhibitor to the protected surface. In Figure 2 the corrosion density (icorr) of the sample after corrosion process in the presence of In 1-3 are presented. Figure 2 shows that corrosion rates were almost equal at low concentration of the inhibitor. On the other hand, the concentration at which the inhibitor could affect its inhibiting ability in static condition and show the best protective effect is 500 ppm. Considering that the mechanism of the corrosion protection mainly depends on their aggregation ability (Tani et al., 2003; Hegazy, 2009).
Surprisingly and interestingly, Langmuir isotherm was found to fit well with the experimental result if the coverage q was assumed to be equal to E%. According to Langmuir adsorption isothermal equation:
c/q= 1/Kads+ c ,
where c is the inhibitor concentration and K is defined as
Kads= 1/55.5 exp{Gads/ RT)
where C is the inhibitor concentration, q is the fraction of the surface covered, Kads is the equilibrium constant of the inhibitor adsorption process, the value 55.5 is the molar concentration of water in solution in mol/l, R is the gas constant, T is absolute temperature and Gads is the standard free energy of adsorption process.
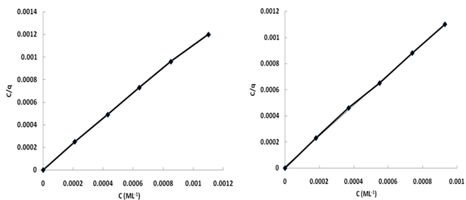
Figures 3-5 show the dependence of the fraction of the surface covered C/q as a function of the concentration (C) of the synthesized inhibitors. The slope of the isotherm deviates from unity for all desired inhibitor. This deviation may be explained on the basis of interaction between the adsorbed species on the metal surface by mutual repulsion or attraction (Ugryumov et al., 2005; Boris et al., 2009) i.e., the inhibitor acts effectively at the metal solution/interface. The obtained plots of the inhibitors are linear and the intercept permits the calculation of the equilibrium constant Kads which are 0.33x107, 105 and 105 M-1 for In 1, In 2 & In 3, respectively. The relatively high value of the adsorption equilibrium constant reflects the high adsorption ability of this compound on the metal surface (Sabine et al., 2007). The values of Kads which indicate the binding power of the inhibitors to the carbon steel surface leads to calculation of the adsorption energy. Values of Gads are -35.8, -38.5 and -38.5 kJ mol-1 for In 1, In 2 & In 3, respectively.
The negative value of Gads means that the adsorption of the prepared inhibitors carbon steel surface is a spontaneous process and also show a strong interaction of the inhibitor molecule onto the carbon steel surface (Lai and Bergel, 2000; Busalmen et al., 2002). Generally, values of Gads around -20 kJ mol-1 or lower are consistent with the electrostatic interaction between the charged molecules and the charged metal (physisorption). While those more negative than -40 kJ mol-1 involve charge sharing or transfer from the inhibitor molecules to the metal surface to form a coordinate type of bond (chemisorption) (Kuznetsov, 2002). The calculated Gads values indicated that the adsorption mechanism of the prepared inhibitors on carbon steel in 1 M HCl solution is a mixed from physical and chemical adsorption (German, 2010).
| Figure-2. Dependence of the corrosion rate effectiveness of carbon steel in water containing 1M HCl + prepared inhibitor on the concentration of 500-100 ppm | Figure-3. Langmiur adsorption isotherm (Ci/q vs. Ci) of In 1 on carbon steel surface in 1M HCl solution. | |
| Figure-4. Langmiur adsorption isotherm (Ci/q vs. Ci) of In 2 vs. Ci) of on carbon steel surface in 1M HCl solution. | Figure-5. Langmiur adsorption isotherm (Ci/q vs. Ci) of In 3 on carbon steel surface in 1M HCl solution. | |
Beech, B.B. and R.C. Tapper, 1999. Exopolymers of sulphate- reducing bacteria. Microbial Extracellular Polymeric Substances: 119–126.
Boris, M.M., Y.F. Alla and A.K. Margarita, 2009. Effectiveness of the corrosion inhibitors for the petroleum industry under various flow conditions, NACE Corrosion Paper No. 09573.
Busalmen, J.P., M. Vazquez and S.R. De Sanchez, 2002. New evidences on the catalase mechanism of microbial corrosion. Electrochimica Acta, 47(12): 1857-1865.View at Google Scholar | View at Publisher
Campbell, S., G. Gesey, Z. Lewandowski and G. Jackson, 2004. Influence of the distribution of the manganese-oxidizing bacterium, leptothrix discophora, on ennoblement of type 316l stainless steel. Corrosion, 60(7): 670 - 680. View at Google Scholar | View at Publisher
Chamritski, I.G., G.R. Burns, B.J. Webster and N.J. Laycock, 2004. Effect of iron-oxidizing bacteria on pitting of stainless steel. Corrosion, 60(7): 658-669.View at Google Scholar | View at Publisher
De La Rosa, C. and T. Yu, 2005. Three-dimensional mapping of oxygen distribution in wastewater biofilms using an automation system and microelectrodes. Environmental Science & Technology, 39(14): 5196–5202. View at Google Scholar | View at Publisher
Elewady, G.Y., I.A. El-Said and A.S. Fouda, 2008. Anion surfactants as corrosion inhibitors for aluminum dissolution in HCl solutions. International Journal of Electrochemical Science, 3(2): 177 – 190. View at Google Scholar
Féron, D. and M. Roy, 2000. Corrosion behavior of stainless steels in natural waters: Focus on microbiological and chemical aspect. Proceedings of Forum Biode´Te´rioration des Mate´Riaux, DAP/ SCECF No. 256; Toulouse, France.
Gehrke, T., J. Telegdi, D. Thierry and W. Sand, 1998. Importance of extracellular polymeric substances from thiobacillus ferrooxidans for bioleaching. Applied and Environmental Microbiology, 64(7): 2743–2747. View at Google Scholar
German, S., 2010. Hydrogen physisorption in metal–organic frameworks: Concepts and quantum chemical calculations. Theoretical Chemistry Accounts, 127(4): 259-270. View at Google Scholar | View at Publisher
Hanan, E.-S.A., 2008. Biologically active tin compounds based on aziridine and azepane derivative. Tenside, Surfactants, Detergents, 45(2): 76-80. View at Google Scholar | View at Publisher
Hanan, E.S.A., 2007. Cycloalkylation reactions of fatty amines with α, ω-dihaloalkanes: Role of bis-quaternary ammonium salts as phase-transfer catalysts. Catalysis Communications, 8(6): 855–860. View at Google Scholar | View at Publisher
Hegazy, M.A., 2009. Novel schiff base-based cationic gemini surfactants: Synthesis and effect on corrosion inhibition of carbon steel in hydrochloric acid solution. Corrosion Science, 51(11): 2610–2618.View at Google Scholar | View at Publisher
Kazem, D.S. and B. Mirzaagha, 2005. Synthesis and reaction of p-vinylbenzyltris(trimethylsilyl)methane. Journal of Organometallic Chemistry, 690(1): 79-83.View at Google Scholar | View at Publisher
Kuznetsov, Y.I., 2002. Current state of the theory of metal corrosion inhibition. Protection of Metals, 38(2): 103–111. View at Google Scholar
Lai, M.E. and A. Bergel, 2000. Electrochemical reduction of oxygen on glassy carbon catalysis by catalase. Journal of Electroanalytical Chemistry, 494(1): 30-40. View at Google Scholar | View at Publisher
Lai, M.E. and A. Bergel, 2002. Direct electrochemistry of catalase on glassy carbon electrodes. Bioelectrochem, 55(1-2): 157-160. View at Google Scholar | View at Publisher
Landaus, J., K. Elkirat, C. Richard, D. Féron and S. Pulvin, 2008. Enzymatic approach in microbial-influenced corrosion. A review based on stainless steels in natural waters. Environmental Science & Technology, 42(7): 2233–2242. View at Google Scholar | View at Publisher
Laurier, L.S., 2000. Surfactant: Fundamentals and applications in petroleum industry. UK: Cambridge University Press. pp: 541-565.
Linhardt, P., 2006. MIC of stainless steel in freshwater and the cathodic behaviour of biomineralized mn-oxides. Electrochimica Acta, 51(27): 6081–6084. View at Google Scholar | View at PublisherMarconnet, C., C. Dogbert, M. Roy and D. Féron, 2005. Comportment D’aciers inoxydables en Eaux naturelles. Matér. Techniq.
Maw-Ling, W. and Yao-Hsuan, 2003. Phase transfer catalytic reaction of n-bromobutane and sodium sulfide in a two-phase solution and its kinetics. Journal of Molecular Catalysis A: Chemical, 203(1-2): 79–93. View at Google Scholar | View at PublisherMiyata, N., Y. Tani, K. Iwahori and M. Soma, 2004. Enzymatic formation of manganese oxides by an acremonium-like hyphomycete fungus. Strain KR21–2, Microbial Ecology, 47(1): 101-109. View at Google Scholar | View at Publisher
Müller, P., E. Weber, C. Helbig and H. Baldauf, 2001. Tethering of long-chain amino acids to a rigid aromatic core—a new type of preorganized surfactants acting as flotative agents. Journal Surfactants Detergents, 4(4): 407–414. View at Google Scholar | View at Publisher
Murav’eva, S.A., V.G. Mel’nikov and V.V. Egorov, 2003. Aliphatic tertiary diamines as film-forming inhibitors of hydrogen sulfide. Corrosion Protection of Metals, 39(5): 468–478. View at Google Scholar
Olsen, B.H., R. Avci and Z. Lewandowski, 2000. Manganese dioxide as a potential cathodic reactant in corrosion of stainless steels. Corrosion Science, 42(2): 211-227.View at Google Scholar | View at Publisher
Riggs, O.L., N. Le Bozec, C. Compere, M. L’Her, A. Laoenan, D. Costa and P. Marcus, 2001. Influence of stainless steel surface treatment on the oxygen reduction reaction in seawater. Corrosion Science, 43(4): 765-786. View at Google Scholar | View at Publisher
Sabine, S., E.P. Sascha and W. Gunther, 2007. Multidimensional electrochemical imaging in materials science. Bioanalytical Chemistry, 389(4): 1103–1120. View at Google Scholar | View at Publisher
Salvago, G. and L. Magagnin, 2001. Biofilm effect on the cathodic and anodic processes on stainless steel in seawater near the corrosion potential: Part 2-oxygen reduction on passive metal. Corrosion, 57(9): 759-767.View at Google Scholar | View at Publisher
Sand, W. and T. Gehrke, 2004. Reviews in Environmental Science and Bio/Technology Journal, 2: 169–176.
Sharma, P., A. Kumar and M. Sharma, 2005. Synthesis of 4-[2-(2-methylprop-1-enylidene)-2, 3-dihydro-1hbenzimidazole-1-yl]-1-napthol via azo group insertion of dimethylvinylidenecarbene under phase transfers catalysis conditions. Catalysis Communications, 7: 18–24.
Sizaya, O.I. and A.P. Andrushko, 2004. On the use of triazines as inhibitors of steel corrosion. Protection of Metals, 40(2): 164–168. View at Google Scholar | View at Publisher
Tani, Y., N. Miyata, K. Iwahori, M. Soma, S. Tokuda, H. Seyama and K.G. Theng, 2003. Biogeochemistry of manganese oxide coatings on pebble surfaces in the Kikukawa River system. Applied Geochemistry, 18(10): 1541-1554. View at Google Scholar | View at Publisher
Tebo, B.M., J.R. Bargar, B.G. Clement, G.J. Dick, K.J. Murray, D. Parker, R. Verity and S.M. Webb, 2004. Biogenic manganese oxides: Properties and mechanisms of formation. Annual Review of Earth and Planetary Sciences, 32(1): 287-328.View at Google Scholar | View at Publisher
Tebo, B.M., H.A. Johnson, J.K. McCarthy and A.S. Templeton, 2005. Geomicrobiology of manganese(ii) oxidation. Trends in Microbiology, 13(9): 421-428. View at Google Scholar | View at Publisher
Tomokazu, Y., K. Nobuhiro, O. Emika, S. Hideto and E. Kunio, 2004. Synthesis and surface-active properties of trimeric-type anionic surfactants derived from Tris(2-Aminoethyl) amine. Journal Surfactants Detergents, 7(1): 67–74.View at Google Scholar | View at Publisher
Ugryumov, O.V., O.A. Varnavskaya, V.N. Khlebnikov, Y.N. Kamzina, D.N. Lebedev, G.V. Romanov, Y.V. Ivshin, R.A. Kaidrikov, F. Shakirov and F.I. Dautov, 2005. Corrosion inhibitors of the SNPKh type. 1. Development and study of the protective effects of corrosion inhibitors based on heterocyclic nitrogen-containing compounds. Protection of Metals, 41(1): 63–67. View at Google Scholar | View at Publisher
Von Re`Ge, H. and W. Sand, 1999. Importance of biogenic iron sulfur compounds for metal-MIC. Technologies: 85–88.
Washizu, N., M. Hiroyuki and K. Toshiaki, 2001. Relation between ennoblement of open-circuit potentials for sus 316l induced by marine microorganisms and hydrogen peroxide in biofilms. Corrosion Engineering, 50(7): 330-333. View at Google Scholar | View at Publisher
Washizu, N., Y. Katada and T. Kodama, 2004. Role of H2O2 in microbially influenced ennoblement of open circuit potentials for type 316l stainless steel in seawater. Corrosion Science, 46(5): 1291-1300. View at Google Scholar | View at Publisher
Yang, H.H. and R.L. McCrery, 2000. Elucidation of the mechanism of dioxygen reduction on metal-free carbon electrodes. Journal of The Electrochemical Society, 147(9): 3420–3428. View at Google Scholar | View at Publisher