Index

ABSTRACT

The study investigated the differential effectiveness of teacher-centered , student-centered and teacher-student interactive instructions on students’ academic performance in kinematical motion particularly in conceptual understanding and graphical interpretation. A sample of 112 first year physics undergraduate PHY110 students of MUCE was used for the study. The design adopted in the study was a Quasi- Experimental Design ( non-randomized pre-test and post-test control group design). The instrument used in gathering data for the study was survey questionnaire and a combination of GIST and MCT. The internal reliability coefficient of the test was 0.74 using Kuder Richardson Formula-20 (KR-20). One way ANOVA test were used for statistical analysis. The one way ANOVA technique, F(2, 93) =0.316, p > 0.05) and the Tukey HSD post-hoc results indicated no significant differences on the effectiveness of the three teaching methods. However, the mean scores results demonstrated that teacher-student interactive method group had relatively higher academic performance and was thus the most effective teaching method, followed by student-centered method while the teacher-centered approach was the least effective teaching method.

Keywords: Kinematical, Teacher-centered, Student-centered, Teacher-student interactive, Teaching methodology and academic performance.

DOI: 10.20448/801.51.69.103

Citation | Anderson Kambani Mvula (2020). Teaching Methods and Students’ Academic Performance in Kinematical Motion: Graphical Interpretation and Conceptual Understanding. American Journal of Social Sciences and Humanities, 5(1): 69-103.

Copyright: This work is licensed under a Creative Commons Attribution 3.0 License

Funding : This study received no specific financial support.

Competing Interests: The author declares that there are no conflicts of interests regarding the publication of this paper.

History : Received: 23 August 2019 / Revised: 7 October 2019 / Accepted: 11 November 2019 / Published: 13 December 2019 .

Publisher: Online Science Publishing

Highlights of this paper

  • The study investigated the differential effectiveness of teacher-centered, student-centered and teacher-student interactive instructions  on students’ academic performance in kinematical motion particularly in  conceptual understanding and graphical interpretation.
  • The  mean scores results demonstrated that teacher-student interactive method group had relatively higher academic  performance and was thus  the most effective teaching method, followed by student-centered method while the teacher-centered approach was the least effective teaching method.

ABBREVIATIONS AND ACRONYM

ANOVA:  Analysis of Variance.

ECZ:  Examination Council of Zambia.

GIST: Graphical Interpretation Skill Test.

KNEC: Kenya National Examination Council.

MCT:  Motion Content Test.

MUCE: Mufulira College of Education.

PER: Physics Education Research.

PHY110: First year undergraduate physics introductory course.

TUG-K: Test of Understanding Graphs in Kinematics.

1. INTRODUCTION

1.1. Overview

This chapter describes the background of the study, statement of the problem, purpose of the study, objectives of the study, research question for guiding the study, research hypothesis, significance of the study, assumption of the study, scope of the study, limitations of the study and definitions of the research terms.

At both secondary school, college and university level, physics is taught under so many topics such as measurements and mechanics, just to mention a few. However, mechanics occupies an important space amongst other domains of  general physics (Mesic, 2015). Carson and Rowlands (2005)  consider mechanics as the entry point to scientific thinking whose understanding is essential for physics as a whole. According to Carson and Rowlands (2005) kinematics is a sub-domain of Mechanics  which describes motion of points and bodies without considering mass of each or forces that cause motion. However, motion is the action of changing location or position whereas the study of motion without regard to the forces or energies that may be involved is called Kinematics.  However, the importance of teaching and learning kinematics cannot be over emphasized as kinematics is one of the first topics taught in secondary schools, colleges and universities in introductory physics. It is mainly about the concepts of motion  that  include position, velocity, and acceleration and  time. Kinematics endeavors to describe motion graphically  and  mathematically using equations. Using graphical analysis, one can visualize motion of an object. Graphs are frequently used because they offer a valuable alternative to verbal and algebraic descriptions of motion and avails students an opportunity of another way of manipulating the developing concepts.

Graphs are a summary of a functional relationship between variables.  Therefore, it is important that teachers incorporate graphs to reinforce interpretational skills and develop a deeper understanding of physics concepts especially in kinematical motion. Furthermore, kinematics is a foundational topic of physics (www.spung.com), which anchors concepts which must be well taught and be mastered by students for good performance in subsequent physics topics.

1.2. Challenges Faced by Students

Research indicates that students have trouble with graph even when they understand the mathematical concepts (Hale, 2000). Researchers in both mathematics and science have closely examined some misconceptions underlying students difficulties in interpreting kinematics graphs. In this study the researcher  discusses the common problems faced by students in interpreting kinematics graphs as cited by Hale (2000) discriminating between slope and height of a graph and relating one type of graph to another. Finally, the four important equations of  uniformly accelerated linear motion are also discussed.

1.3. Discriminating between Slope and Height of Graph

It was observed that students have to a tendency to respond incorrectly by giving height of the graph at the point instead of the slope of the graph. Hale (2000) made similar observations and conceded that this kind of response is a simple mistake caused by misreading and not a misconception by the student. For example, Hale cites McDermott et al. (1987) who asked students to indicate which object had the greater velocity at time  in  Figure 1 Obviously, the majority of the students incorrectly chose object B.

Figure-1. Position- versus- time graph.

Source: Hale (2000).

Such an error could be due to misreading either axis. The error is not an indication of students misconception. In a like manner, Carl, a college student who correctly read the axis but was misled by not only principles from his own experience but also visual qualities of the graph that supported his principles to respond incorrectly to a similar question. In this case Carl was asked to describe the distance between two cars after time as shown in Figure 2.

Figure-2. Velocity- versus- time graph.

Source: Hale (2000).

In quoting Monk (1994) on Carl’s reasoning, Hale (2000) adopted the following principles:

Therefore, Hale concluded that students’ difficulties are deeply rooted in their conceptions of kinematics variables such as acceleration and speed which are by and large influenced by personal experience.
In addition, Beichner (1994) observed a consistent set of student difficulties with graphs of position, velocity and acceleration versus time. The difficulties included misinterpreting graphs as pictures, slope/height confusion. Beinchner further observed the problems students face in finding the slopes of lines not passing through the origin and the inability to interpret the meaning of the area under various graph curves.          

1.4. Relating One Type of Graph to Another

Experience has shown that students often mistake a position-time graph of a moving object to a velocity-time graph of that object. Further, research by Nemirovsk and Rubin (1992) and Brasell (1987) also indicate that students often expect the position graph of an object to be similar to the velocity graph of the same object.

In conclusion, it must be noted that students come to a either a physics or  mathematics classroom with their own understandings of velocity, acceleration, and distance that are that are based on their experiences.

1.5.  Equations of Motion

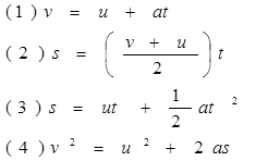
The following are the four equations of motion;

These equations apply to uniformly accelerated linear motion of objects. The equation relate to distance covered (s) to the time taken(t) whereas u is the initial velocity and v is the final velocity. However, most text-books present these equations without showing where they originate from. Perhaps this is a reason why students have problems of choice when it comes to choose the equations which best suits the solution for a particular conceptualor numerical problem.

1.6. Performance

In a 2006 (www.researchgate.net) baseline survey conducted in  Zambia indicated that many learners thought kinematics was an easy topic.   This was contrary to the actual results in the examinations and the experience of the researcher who for thirteen years in teaching physics has seen  kinematics  as being troublesome to  both secondary school, college and university students. In college examinations in France , students struggle to answer questions on kinematics (https:www.totalregistration). In Kenya, questions on kinematics have been poorly performed over the years. Sogoni (2017) attributed the poor performance in kinematics in Kenya to conventional teaching methods (teacher centered) that were being used by teachers. This assertion is similar to the assertion by Banda et al. (2014) in which he claims that the poor science results in Zambia are due to traditional methods (teacher centered) of teaching employed by  teachers.

1.7. Teaching Methods

Tababal and Kahssay (2011) writes, “ The purpose of teaching at any level is to bring a fundamental change in the learner. Such changes may be in the form of acquiring intellectual skills, solving problems and inculcation of desirable attitudes and values. Teachers adopt different approaches to help students to acquire Knowledge, skill and experience. Textbooks work example problems to illustrate concepts and principles, to demonstrate procedures, and to clarify points of likely confusion.”  These different approaches in this study are referred to as teaching methods. However, there are several teaching approaches but for the purpose of this research the researcher condensed them to the ones explained below.Teacher- centered method  is sometimes referred to as traditional or conventional method. Under this instruction, the task of delivering materials in the teaching and learning process lies with the instructor (teacher or Lecturer). Students play a little role in preparing, analyzing and evaluating the materials. This approach is a teacher-centered  in that  the teacher dominates in the teaching and learning process. Research evidence suggests that students who are taught physics by traditional methods fail to learn essential physics concepts (Tababal and Kahssay, 2011). In line with this,  Hake (1998) reported that traditional teaching approach is characterized by lectures requiring little or no active student involvement, labs with prescribed practical procedures and tests or examinations emphasizing quantitative algorithmically solving procedure. In this approach the main focus is to get students to perform well in promotion examinations rather than other motivation to learning such as innovations and skills to think (Zohrabi et al., 2012).  Furthermore, teachers or lecturers usually used particular textbooks which sometimes are largely knowledge oriented and just compare examination questions and solutions and answering examination questions though rote memorization is of more emphasis than acquisition of  process skills and training. In this case students tend to be more competitive and selfish hence miss an opportunity to interact and innovate (Acat and Dönmez, 2009). Teachers or lecturers are more dominant sources of information, for instance, all questions posed by students, if any, are answered directly by teachers without students involvement. In terms of class activities, teachers control all learning experiences. However, other scholars argue that teacher-centered method is suitable for large class sizes, it takes shorter time to do class activities, learning materials can be well prepared, teachers may feel more confide (Nagaraju et al., 2013).  All in all, in teacher-centered method, the primary task of a teacher is to transfer knowledge to learners.

Research evidence has shown that student-centered methods are inspired by the sense of discovery learning and active learning (Tababal and Kahssay, 2011). This approach to teaching is more flexible and encourages learners to enhance their research and thinking skills and as such students assume responsibilities that increase interest in learning physics and subsequently promote conceptual reasoning. Therefore students’ work is more important as it depicts the students learning process and quality of the learning product. However, the teaching and learning of physics using this approach links well with flexible learning, experiential learning, and self –directed learning (Acat and Dönmez, 2009).

The teacher-student interactive method is a blend of two teaching instructions: the teacher- centered and student-centered. Ganyaupfu (2013) recognizes the sentiments by Jacoby (1978), McDaniel et al. (1978) that subject information produced by the learners is remembered better than the same information presented to the learners by the lecturer.  The method encourages the students self-search for relevant knowledge in contrast to lecturers’ dominion over the dissemination of information to the learners. Perhaps, it is the reason why research evidence on teaching approaches maintains that this teaching method is effective in improving students’ academic performance as observed by Damodharan and Rengarajan (1999).

However, this study endeavors to compare the effectiveness of teacher-centered, learner-centered and teacher-student interaction methods in the teaching of kinematical motion, in both graphical interpretation and conceptual understanding at Mufulira College of Education (MUCE).

Establishing a more effective teaching method in the teaching of kinematics could  possibly  offer a solution to  poor performance in physics. As some research have indicated that poor academic performance in kinematics which in turn affect overall performance in physics is due to use of ineffective teaching methods such as teacher-centered method. Saga (2015) tells us that if the existing strategy of teaching is not yielding results, then, other teaching strategies should be adopted. In view of this, there is need for a paradigm shift to using methods that are appropriate, relevant and effective to the subject. Saribas (2009) is alive to the fact that when appropriate learning methods are used, the learners develop proper attitudes and skills during the learning process. Hence there is need to change from the conventional way of teaching kinematics to ones that are effective.

1.8. Statement of the Problem

Poor academic performance in kinematical motion in physics by the majority students at higher education level has mainly been cited to be a product of employment of ineffective  teaching methods such as lecture methods by teachers or lecturers (Sogoni, 2017). Some teaching methods are not only contextually relevant to the subject matter and topic but also effective in imparting the necessary manipulative and interpretive skills as well as thinking and problem solving skills.  In the teaching of science, physics in particular, strategies that involve critical thinking and generation of innovative minds need to be employed. Unfortunately, the teaching of physics in Zambia is mainly  theoretical and talk and chalk, with less hands on activities and more less  methods that directly engage the student in order to capacity build the ability to think and solve problems independently  (Mwanza and Mvula, 2014). It must be noted that graphing is one of crucial ingredients to the understanding or description of kinematical motion which is a sub-topic of mechanics. So far there is research evidence showing that Zambia is moving towards learner centered conduction of science lessons in secondary schools but there is nothing on science lectures in colleges and universities the researcher came across. In particular, no studies have been done on effective teaching of kinematics at MUCE with regard to learner-centered, teacher-student interaction and teacher-centered method. In a quest to try and find a better a solution to the understanding of kinematics, the researcher decided to subject the undergraduate PHY110 students to the afore mentioned instructions with a hope to establish the most effective teaching method in the teaching of  kinematics in physics at MUCE.

1.9. Purpose of the Study

The purpose of this study was to investigate which approach, student-centered , teacher-student interactive or learner-centered, was the most appropriate  in teaching kinematical motion particularly  concepts and graphical representation and interpretation to establish which approach produces higher student’s performance as measured by individual test scores at the end of the instruction.

1.10. Research Objective

The primary objective of this study was to investigate whether there are significant differences in the effectiveness of learner-centered, teacher-student interactive and teacher-centered instructions on students’ academic performance in kinematics.

1.11.  Research Question

Are there any significant differences between the mean scores in kinematics test  among  learner groups treated with a learner-centered, teacher-student interactive and teacher-centered instructions respectively?

1.12. Hypothesis

Null Hypothesis (Ho)

There are no significant differences between the effectiveness of learner- centered, teacher-student interactive  and teacher-centered instructions on students’ academic performance in kinematics.

Research Hypothesis (H1)

There exist significant differences between the effectiveness of learner centered, teacher-student interaction and teacher centered instructions on students’ academic performance in kinematics.

1.13. Significance of the study

The results of this study will provide useful insights to the lecturers, teachers and the ministries of Higher and General Education respectively on the differential effectiveness of teaching methods on students’ academic performance in kinematics. In addition, academicians and scholars will use the study as a source of information regarding the effective learning of kinematics. Finally, the study will add value to the literature on methods of enhancing learning of kinematics among college students.

1.14.  Assumptions of the Study

The assumptions of the study were that:

  1. The teaching period was the same in all the groups as the post test in kinematics was to be administered on the same day.
  2. Students were not familiar with learner-centered learning techniques such as cooperative learning and as such they needed to be inducted on what to do in this learning process.

1.15.  Scope of the Study

The study was focused to investigate students’ academic performance in kinematics when taught using student-centered, teacher-student interactive and teacher-centered method at MUCE. The study was restricted to MUCE  first year undergraduate physics students. Student-centered was restricted to cooperative learning using jigsaw teaching technique, teacher-student interactive was restricted to research and discussion among students and teacher-centered was restricted to lecture method. 

1.16. Limitation of the Study

The study lacked randomization on the subjects as the sample was picked from the available two first year  degree science and mathematics classes from which three groups were randomly made by assigning subjects numbers 1,2 and 3 and finally putting all number 1s to experimental group for learner centered method and all number 2s to experimental group for teacher- student interaction method and number 3s to the control group subjected to traditional method in order to minimize biasness.

1.17. Theoretical Framework

The study is based on "The Reinforcement Theory". According to the theory, the behaviour of an organism can be shaped by rewarding or reinforcing the desired responses in a given environment. The educational implication of this theory is that through programmed instructions, a learner can be led through series of steps to desired level of performance. The teachers’ choice of method of delivery of a lesson is central in the process of learning through quality teaching. Therefore, the method chosen must be relevant in the organization and delivery of the information in an appropriate environment, which in this case is the classroom and the school at large. Methods that favour  students dominance in the teaching and learning process are said to be more effective as subject information produced by learners is remembered better than the same information presented to students by the lecturer (Ganyaupfu, 2013). Therefore, the students have a duty to create their own whereas the role of a teacher to reward by praising the students’ effort and fill up the gap where it is not humanly possible for the student. In education, the performance in examinations by learners is a measure of the skills, knowledge, attitudes and other desirable values acquired by learning through teaching. This study however is focusing on the various teaching methods with a view of identifying the most effective method in the teaching of kinematics, a topic in physics using both the graphical and conceptual approach. Performance level is observable and measurable and a right teaching method can thus be an important ingredient to learners’ outcomes.

Figure-3. Theoretical framework.

1.18.  Conceptual Framework

The competencies of a teacher in understanding and interpreting specific objectives enables the teacher to plan carefully for the teaching and learning processes, decide on suitable teaching strategies, select appropriate content, determine the depth of coverage of the content, select appropriate teaching and learning resources and determine the time required to cover a given topic. The learner’s performance is seen as a reflection of the teachers’ ability to change learners misconceptions into scientific facts. This task can only be realized if the teacher plans adequately before going to class to execute a lesson. The picking of  teaching strategy that suits a particular topic is very important for effective delivery of a lesson. For example, physics is a practical subject that must be taught using methods that advocate for active, inquiry and experiential learning and just approaches that are systemic in nature: those that promote critical thinking and innovativeness.

Figure 4 shows the relationship between teaching methods and students’ academic performance in kinematics in physics. The figure depicts that performance is a product of various interrelated and intertwining factors such as learning environment, professionalism and experience of the teacher, teacher/learner environment, student and teacher qualifications and teacher training content and methodologies. All these factors are interrelated and they are the ones that determine how good or poor a learner's performance will be.

Figure-4.  Conceptual framework.

1.19. Definitions of Technical Terms

The definitions of terms as used in this study were:

Assessment: Opinion or judgment of college physics teaching.

Competence: Ability of the physics teacher to teach the subject well.

Learner: first year degree student taking first year physics course (PHY110).

Learning: Relative permanent change in understanding physics concepts by a learner.

Performance: achievement in a physics test, a measure of skills development or a measure of.

Science Process Skills: skills involving investigative activities with emphasis on observing, recording, measurement and using numbers in kinematical physics.

Strategies: methods such as discovery instruction, lecture instruction , experimental instruction, role play instruction e.tc.  used in teaching  physics at college or secondary school level.

2. LITERATURE REVIEW

2.1. Introduction

This section provides the literature relevant to the methodology in kinematics instruction, students’ academic performance, science process skills, and the knowledge gap.

Review of related studies reveal that research has been done to measure the success of leaner-centered strategy against conventional strategy regarding achievement across all levels from primary grades through college though least has been explored concerning  teacher-students interactive method against the former two. The search found no  study done in Mufulira that dealt with students’ performance using students- centered and conventional learning with a focus on learner achievement in kinematics in physics and evidence on teacher-student interactive strategy. However, the common practice in teaching in Zambia is dominantly characterized by lecture method which in other words is a teacher-centered method. This approach is not so recommended for science which demands learner independent thinking, innovation and problem solving through enquiry. Based on this background the study sets out to investigate the effectiveness of learner -centered, teacher-student interactive and teacher centered method on academic performance of first year physics degree students  in kinematics  at MUCE, Copperbelt province in Zambia.

2.2.  Academic Performance

Academic performance is the state of a students learning achievements at a particular time in a particular course or group of courses. It is measured by a grade obtained in a particular course or a set of courses depending on the design of the curriculum. However, for this performance to be realized in a classroom, the role of a teacher as an instructor is crucial. This is very important since teachers directed participation can range from complete control over what is learnt to minimal intervention. A teacher is the source of all knowledge that students can acquire in a classroom. A teacher can impact students learning in different regards based on the way he delivers the subject. Consequently, the way the teacher delivers the subject or methodology is directly related to learners Teachers’ Method of Teaching  (Selim and Shrigley, 1983). The strategies the teacher uses in a quest to impart knowledge to the learner is called methodology.

In this study the researcher reviews teacher-centered, teacher-student interactive and learner centered methods.

2.3. Teacher-Centered Methods

This method has more to do with teacher dominance in the dissemination of information. Students passively receive information from the teacher without creating an engagement level with the subject being taught (Boud and Feletti, 1999). This approach can be thought to be least practical, more theoretical and encourages memorization of concept Ganyaupfu (2013) It does not favour activity based learning to encourage students to learn real life problems based on applied knowledge. Since the lecturer controls the transmission and sharing of knowledge, the lecturer is bound to mislead the students to think the lecturer is the only fountain of knowledge and as such students make little effort to create their own knowledge. This results in students’ loss of both interest and understanding of physics concepts. In order to realize some solutions to the shortfalls above , teaching must actively engage students as prime participants other than them being mere recipients of rules, definitions and rote memorization of procedural instructions (Zakaria et al., 2010).

2.4. Student-Centered Method

According to Banda et al. (2014) student-centered approach to learning is a vehicle that takes us towards producing a learner that is analytical, innovative, creative and constructive in thought. In a quest to promote the concept of discovery learning, many scholars have of late  widely adopted more  student-centered  biased methods to enhance active learning  (Greitzer, 2002).  Hesson and Shad (2007) observed that most teachers today apply the student-centered approach to promote interest, analytical research, critical thinking and subject pleasure among students. Student-centered instruction is therefore considered more effective as it does not confine the flow of knowledge from the lecturer to the student only but the other way round as well (Lindquist, 1995). The approach also motivates goal-orientated behaviour among students, hence the method is very effective in improving student achievement (Slavin, 1996).

 2.5. Teacher-Student Interactive Method

This is a method that employs both teacher-centered and student-centered approaches. Researchers believe that this approach encourages students to do independent work than acquiring monopolistic  knowledge from the teacher (Jacoby, 1978; McDaniel et al., 1978). Therefore, students develop study skills, innovations, independent thinking and analytical skills as such the  subject information produced by the learners is remembered better than the same information presented to the learners by the lecturer.  As such, research evidence on teaching approaches maintains that this teaching method is effective in improving students’ academic performance as claimed by Ganyaupfu in citing the claims of Damodharan and Rengarajan (1999).

Ganyaupfu (2013) did an experimental research using teacher-centered, student-centered and teacher-student interactive method in South Africa on an undergraduate cohort from the Department of Economic and Business Sciences, Kempton Park (Higher Education and Training) Campus and PC Training & Business College and the test results indicated that teacher-student interactive stratagem was more effective than student centered and teacher centered was the least.

However, no study was found  concerning kinematical motion in which teacher-student interactive method was tested hence the need to conduct this study.

2.6.  Teaching Methods in Kinematics Instruction

Banda et al. (2014) conducted an action research on  the introduction of Lesson Study, a learner centered approach  conducted in Central Province of Zambia on a biology lesson and discovered that  in the province, teaching skills of science teachers were improved and students’ pass rates in national examination increased in science compared with provinces which were not implementing the lesson study policy.

Furthermore, Tababal and Kahssay (2011) conducted an investigation using a quasi-experimental design on Ethopian grade nine (9) high school natural science students in Amhara National Regional State, to compare  the effect of student-centered against teacher-centered method on ‘Improving Students’ Graphical Interpretation Skills and Conceptual Understanding of  Kinematical Motion’ and the post-test results showed that the student-centered  method was more positively effective than the later.

Similarly, Sogoni (2017) did a quasi-experimental research to investigate how effective cooperative learning, a student -centered approach,  in teaching and students achievements in kinematics in secondary schools in Sabatia Sub-County,  Kenya and discovered that cooperative learning was more effective than conventional method in learner performance.

2.7. Knowledge Gap

Review of related studies has revealed that research has been done to measure the effectiveness learner-centered instruction, cooperative learning in particular , as an instructional strategy for achieving higher academic performance from primary schools to colleges and has compared to teacher-centered yielded better results. Besides, research on teacher-student interactive instruction, research and discussion in particular as a teaching instruction has in a various subject areas and across primary school grades to college level and have indicated supremacy over student-centered and teacher-centered respectively. However, there is no evidence of a study that compared the teacher-centered instruction, teacher-student interactive instruction and the student-centered instruction in in academic performance in kinematical motion: graphical interpretation and conceptual understanding . It is against this background the study set out to investigate the effectiveness of the afore mentioned teaching methods in students’ academic performance in kinematical motion particularly graphical interpretation and conceptual understanding at Mufulira College of Education, Copperbelt Province in Zambia.

3. RESEARCH DESIGN AND METHODOLOGY

3.1. Introduction

This chapter describes research design, study location, study population, sampling techniques, research instruments, piloting of research instruments, reliability and validity of the research instruments, and data analysis procedures.

3.2.  Design of the Study

The research design used was a quasi-experimental design. It is also called non-equivalent control group design. It was almost impossible to randomly sample subjects equivalently from a population of the first year degree physics class due to the subjects’ different background variables.

According to  Cohen et al. (2005) one of the most commonly used quasi-experimental designs in educational research can be represented as in Figure 5:

Figure-5.  Non-equivalent control group design.

Source: Cohen et al. (2005).

The dashed line in Figure 5 indicates that the experimental and control  groups have not been equated by randomization hence the term ‘non-equivalent. However, this study had two experimental groups, student-centered and teacher-student interactive instruction group. The teacher-centered instruction group was the control group. Therefore, the modified design was as in Figure 6.

Figure-6. Research design depiction.

Key:

X1-- Cooperative learning using jigsaw approach.

X2-- Research and Discussion approach.

C-- Teacher-centered approach.

O1 – Pre-test/ initial Observation for X1 group.

O2 – Post-test/ final Observation for X1 group.

O3 – Pre-test/ initial Observation for X2  group.

O4 – Post-test/ final Observation for X2 group.

O5 – Pre-test/ initial Observation for C group.

O6 – Post-test/ final Observation for C group.

In this study the independent variables were student-centered, teacher-student interactive and teacher-centered instruction. The dependent variables were students‟ graphical interpretation skills and conceptual understanding of kinematical motion which are presented through the students achievements in the pre-test and post-test results.

3.3. Study Location

This study was conducted in Mufulira, one of the mining towns in the Copperbelt Province of Zambia. However, the study was confined to Mufulira College of Education due to poor performance in physics specifically  in kinematics, as observed by the researcher. Since the researcher is a lecturer in physics at this college, it was convenient in terms of cutting down the cost of research despite a compromise on the generalizability of the findings. Mufulira College of Education is the only public college situated along Mufulira-Kitwe road and about five kilometers ( 5km) from the central business area. It trains secondary school teachers at both diploma and degree level in Home Economics, Science, Mathematics, Physical Education , Music, Agriculture Science and Business studies.

3.4. Population of the Study

The target population of the study was first year Mufulira College of Education Degree physics students adopted from the Science and Mathematics program domains. The target population for this study consisted of hundred and twelve (N=112) students, all internal students or full time college students.

3.5. Sampling Technique and Sample Size

Borg and Gall (1979) suggest that causal-comparative and experimental methodologies require a sample size of no fewer than fifteen cases. Within the available population and with the consideration of attrition and mortality of respondents, it was within the justifiable limits of the study to follow the sampling frame outlined below.

3.5.1. Sampling Frame

This is the actual list of sampling units from which the sample is selected. It is a list of the study population. There were 112 first year degree physics (PHY110) students at Mufulira College of Education. The sample frame is presented as in Table 1

Table-1. Sampling frame of physics students.
Groups (Methods)
Male
Female
Total
Teacher-Centered
20
11
31
Student-Centered
21
10
31
Teacher-Student interactive
20
11
31
Total
93

3.5.2. Sample Size

A sample is a smaller group obtained from the study population (Mugenda and Mugenda, 2003). The sample of 93 students, 33% (n=31) females and 67% (n=62) males, was purposely picked and divided into 3 equal groups.  Group one (1) was the control group treated with teacher-centered method, group two (2) was an experimental group that was treated with teacher-student interaction method and group three (3) was also an experimental group treated with student-centered method. The remaining nineteen (19) were all males and were used in the piloting of the instrument only.

To guarantee fair representation in terms of sex in the group samples twenty one (21) sets of three (3) cards, on each card indicated a group number (either 1 or 2 or 3) were put in one box. 62 male subjects,  each randomly drew a card from the box and was assigned to a group based on the card number. Similarly, eleven (11) sets of cards were put in the second box where 31 female subjects each drew a card and got assigned to the group according to the number reflecting on the card. That is to say,   33% (n=10) female and 67% (n=20) male proportion was fairly considered in each group. A summary of this is seen in Table 2.

Table-2. Sample size.
Groups (Methods)
Male
Female
Total
Teacher-Centered
20
11
31
Student-Centered
21
10
31
Teacher-Student interactive
20
11
31
Total
93

One physics lecturer was involved in this study during the teaching-learning process.

3.6. Instrument

Taking into account Wagner and Vaterlaus (2011) who says that proper concepts have to be learned but also misconceptions have to be unlearned, the pre-test and post-test items were to be constructed with the purpose of identifying student's concepts and misconceptions in kinematics at college level. Therefore, the tests were based on the following list of kinematics concepts:

  1. Velocity as rate of change of displacement.
  2. Velocity as vector in one dimension ( i.e. direction of velocity).
  3. Velocity as slope of the curve in a displacement-time graph.
  4. Displacement as area under the curve in a velocity-time graph.
  5. Acceleration as a rate of change of velocity.
  6. Acceleration  in one dimension (i.e. direction of the acceleration).
  7. Change in velocity as area under the  curve in an acceleration-time graph.

It is against the above background that two Graphical Interpretation Skills Test (GIST) and Motion content Test (MCT) were used to generate data for the study. The pre-test comprised eighty (8) GIST items and seven (7) MCT items while the post-test comprised seven (7) GIST items and eight (8) MCT items respectively. The tests were constructed picking some concepts from the general physics books and the Test of Understanding Graphs in Kinematics (TUG-K) (Beichner, 1994; Breithaupt, 2003; Mvula et al., 2015) and administered as pre-test and post-test. The pre-test served as a base line survey to establish the initial knowledge level of the subjects in the three groups. The instruments were later given to four experienced lecturers of physics to obtain their views regarding appropriateness of objectives and language level.

3.6.1. Investigation of Background Variables and Pre-Test

All variables, except students’ performance in pre-test and post-test were referred to as background variables. Since, the researcher was interested in observing the student-centered approach, teacher-centered approach and teacher-student interactive approach in terms of students achievement, there was need to make sure that these groups were statistically equivalent in terms of  background variables. Therefore, a six (6) items questionnaire was constructed to check some students attitudes and attributes towards the learning of physics, and was administered in such a way that students’ responded to questions by ticking in an appropriate box designated to tasks A, B, C, D, E, and F . Thereafter, a two by two (2x3) contingency table was constructed by combining responses of students with frequencies and ignoring observations with zero frequency. Since these background variables were categorical, chi squaredtest was used to check the equivalence of the three groups in terms of background variables.

3.6.2. Piloting

In order to ensure meaningful reliability and validity of the questionnaire a test must first be tried on subjects mostly on those that are not going to be part of the pre-test and post-test subjects. The act is called piloting.   It involves editing the questionnaire on instructions that need simplifying to suit the subjects abilities to respond in line with the desired objectives of the study instrument. A pilot core purpose is to increase the reliability, validity and practicability of the questionnaire. Therefore, after construction, the instrument was tested on nineteen (19) first year degree physics students not included in the sample groups in order to check its reliability using the test scores.

3.6.3. Reliability

According to Sogoni (2017) reliability is the degree of consistency that the instrument demonstrates in the results obtained. It must therefore, be understood that reliability entails that the same candidates would score the same on a test if they sat for it repeatedly on different occasions. Kinematics pre-test and Kinematics post-test were pre-tested on the nineteen first year degree students who were not used in the actual study. Thereafter, some amendments on the language and questions that proved to be difficult and not testing kinematics concepts were done. Test-retest technique was used to assess the reliability of the instruments. The post-test was undertaken after two weeks from  the first test to the same group of students. During the post-test the respondents were exposed to the amended tests.  Therefore, for a test to be reliable it must have appropriate assessment method and language. Nevertheless, the two tests in this study were multiple choices based.

Reliability coefficient for multiple choice instruments is calculated using Kuder-Rechardson 20 (KR-20) formula. Tests having a KR-20 > 0.70 are generally considered to be reliable for group measurements. Therefore, the value of reliability in this case was calculated from the KR-20 formula using excel. The other important values calculated were difficulty index and discrimination index for pilot test as shown in Table 3.

Table-3. Statistical results from pilot test.
Name of statistics
Possible values
Desired value
Calculated value
KR-20
[0,1]
>0.70
0.74 (For groups)
Discrimination index
[-1,1]
>0.30
0.33 (Average)
Difficulty index
[0,1]
>0.30
0.61 (Average)

3.7. Treatment

Experimental groups were treated with student-centered (cooperative learning using jigsaw approach) and teacher-student interactive approach ( research and discussion) respectively after administering a pre-test. On the other hand, the control group was treated with teacher-centered approach, specifically a more lecturer-driven lesson, textbook problems solved by the lecturer. The role of the student was to receive information from the lecturer. Thereafter, a post-test was administered to all the groups.

The collected data for the study were analyzed by using quantitative and descriptive statistical methods using statistical package software called SPSS 16. Specifically, Chi-square was adopted to investigate the difference between experimental and control groups in terms of their background variables. To investigate the difference among teaching method groups in terms of their pre-test and post-test achievement , one-way ANOVA  ( analysis of variance) test at  an  alpha level of  0.05  (a  = 0.05) was used.  In order to check whether there was any significant between the students’ performance mean scores of the three teaching instructions in the post-test performance scores, the Tukey HSD post hoc test was applied.. In addition, descriptive statistics was also used to calculate the mean, variance and standard deviation.

4. DATA ANALYSIS AND RESULTS

The analysis and the results of this study were explained in three sections. The first section deals with investigation of background variables and pre-test results. The second section presents the achievement of post-test with its inferential and descriptive statistical analysis. The last section dealt with the findings of the study.

4.1. Analysis of Background Variables and Pre-Test

4.1.1. Sex

A chi-square test of independence was performed to determine whether participants sex contribution was significantly varying or not. As it is seen from Table 4 the test revealed that the three groups were not significantly different in terms of sex distribution, i.e. (2, 85) = 0.075, p=0.963. Thus p > 0.05.

Table-4. Chi-square for sex distribution of participant students.
Name of statistics
Possible values
Desired value
Calculated value
KR-20
[0,1]
>0.70
0.74 (For groups)
Discrimination index
[-1,1]
>0.30
0.33 (Average)
Difficulty index
[0,1]
>0.30
0.61 (Average)

4.1.2. Age

A chi-square test for independence was performed to determine whether participants age distribution was significantly varying or not. Table 5 shows that, the three groups are not significantly different in age, i.e. (6, 85) = 5.854, p=0.440. Thus p > 0.05.

Table-5.  For age distribution of participant students.
Age
Teaching method
 
 
Teacher centered
Teacher-Student interactive
Learner centered
14-16 Years
Observed
0
0
1
Expected
.3
.4
.3
16-18 Years
Observed
10
10
5
Expected
8.5
8.8
7.6
18-20 Years
Observed
19
19
20
Expected
19.8
20.5
17.7
Above 20 Years
Observed
0
1
0
Expected
.3
.4
.3

4.1.3.Students’ Preparation

How students’ feel in terms of the preparation on the topic of kinematics may affect their performance. Therefore, it is vital to check the experimental groups and control groups in terms of their feeling of how  prepared they are.  Table 6 summarized data on how students felt in terms of preparation for kinematics in physics.

Chi Squaretest was used to check the difference between the three groups in terms of feelings of preparation. Thetest result showed that the three groups did not differ significantly on how well students felt prepared for kinematics in physics, that is  (6, 83) = 5.443, p=0.488. Thus p > 0.05.

Table-6. For students’ feelings in terms of preparation in kinematics in physics.
Students preparation
Teaching method
 
 
Teacher centered
Teacher-Student interactive
Learner centered
Very well
Observed
1
5
6
Expected
3.9
4.3
3.8
Prepared
Observed
11
12
11
Expected
11.1
12.3
10.7
Somewhat
Observed
3
3
3
Expected
2.9
3.3
2.8
Unprepared
Observed
12
10
6
Expected
9.1
10.1
8.8

4.1.4. Experience in Physics and Repeating Physics Subject in High School

Previous knowledge in physics may affect students’ performance in kinematics. It is vital to check the previous physics taken by the students and repeating physics subject in both high school and college respectively. As we see from Table 7 only four (4) students repeated this subject at college level.

Chi Squared test was used by considering responses of students with non- zero frequency. Table 7 results showed that the three groups were not significantly different in previous experience with physics and repeating the subject in high school and college. That is to say.(4, 78) = 5.138, p=0.273 and thus p > 0.05.

Table-7.for students’ physics background survey.
Physics experience
Teaching method
 
 
Teacher centered
Teacher-Student interactive
Learner centered
Ordinary level physics
Observed
17
19
20
Expected
19.4
20.1
16.5
Advanced/College level physics
Observed
7
8
2
Expected
5.9
6.1
5.0
Repeat physics at college
Observed
3
1
1
Expected
1.7
1.8
1.5

4.1.5. Previous Mathematics Background

Student's mathematical background may affect their performance in kinematics in physics. From Table 8 we can see that there is no significant difference between the three groups in terms of previous mathematics class. The researcher used a chi-squaretest to analyze responses of students’ school mathematics experience. The results showed  that there is no significant difference between the three groups in terms of mathematics subject that they previously took at secondary school level , i.e.,((4,76) = 1.285,p=0.864 and thus  p > 0.05).

Table-8.  for students mathematics background survey.
Mathematics experience
Teaching method
 
 
Teacher centered
Teacher-Student interactive
Learner centered
Ordinary level mathematics
Observed
16
19
17
Expected
17.
18.5
15.7
Pure mathematics
Observed
8
6
4
Expected
6.2
6.4
5.4
College mathematics
Observed
2
2
2
Expected
2.1
2.1
1.8

4.1.6. Students’ Study Time

Students were asked to respond to the question how much time outside of their class they expect to spend in studying physics subject. A significant difference in students’ study time among the three groups could bring a significant difference in their achievement. Contrary the  test results seen in Table 9  showed  that the three groups were not significantly different in study time. That is to say,(6, 76) = 5.242,p=0.491 and thus  p > 0.05).

Table-9  for students  study time allotment for physics.
Students study time
Teaching method
 
 
Teacher centered
Teacher-Student interactive
Learner centered
2 Hours per week
Observed
2
4
5
Expected
3.3
4.2
3.5
2-5 Hours per week
Observed
5
8
9
Expected
6.7
8.4
6.9
6-10 Hours per week
Observed
8
11
4
Expected
7.0
8.8
7.3
10-15 Hours per week
Observed
8
6
6
Expected
6.1
7.6
6.3

4.1.7. Pre-Test: Background Knowledge of Kinematics in Physics

Participant students were tested on questions on one dimension kinematics topics. The questions were 15 multiple choice items drawn from physics text books and TUG-K. A test was used to check whether there is a significant difference among the three groups on students’ knowledge level on kinematics or not. Table 10  showed that the three groups did not have statistically significant difference on their  pre-test results based on descriptive statistics Table 10. Besides, one-way ANOVA test was used and yielded F(2, 85) = 0.130, p=0.878 and thus p > 0.05 with significant level of alpha (a ) = 0.05 indicating that there was no statistically significant difference in the pre-test results between the groups as shown in Table 11.  Above all, this saved as a baseline for the treatments.

Table-10. Summary of pre-test achievement according to treatment of student-centered, teacher- student interactive and traditional instruction.
Method
N
Mean
Std. deviation
Std. error
95% Confidence interval for mean
Minimum
Maximum
Lower bound
Upper bound
Teacher centered
29
7.52
2.613
0.485
6.52
8.51
3
14
Teacher-Student interactive
30
7.80
2.483
0.453
6.87
8.73
3
13
Learner centered
26
7.81
2,227
0.437
6.91
8.71
4
13
Total
85
Table-11. ANOVA pre-test achievement according to treatment of student-centered, teacher-student interactive and teacher-centered instruction.
Pretest
 
Sum of squares
Df
Mean square
F
Sig
Between groups
1.567
2
0.784
0.130
0.878
Within groups
494.080
82
6.025
Total
495.647
84

4.2. Achievement of Post-Test

To assess the effectiveness of student-centered, teacher-students interactive and teacher-centered instruction on the teaching of one-dimensional kinematics, a pre-test and post-test was administered to all the three groups. Besides, the researcher also administered background information survey questionnaire. Here the groups’ achievement difference in the post-test score and gain is examined. The research question was: Are there any significant differences between the mean scores in kinematics test among  learner groups treated with a learner-centered, teacher-student interactive and teacher-centered instructions respectively? To answer this research question, students’ achievement on conceptual understanding and graphical interpretation skills were measured at the end of the treatment using 15 questions given to all 93 students. The data was analyzed using one-way ANOVA test. Table 12 shows that there was no significant difference between teacher-centered instruction group and, teacher-student interactive and student-centered instruction groups, i.e. ( F (2, 93) = 0.316, p > 0.05).

Table-12 . ANOVA post-test achievement according to treatment of student-centered, teacher-student interactive and teacher-centered instruction.
Post test
 
Sum of squares
Df
Mean square
F
Sig
Between groups
1.957
2
0.978
0.316
0.730
Within groups
279.032
90
3.100
Total
280.989
92

Data were also analyzed using descriptive statistics to examine the means, standard deviations and standard errors as shown in Table 13

Table-13. Descriptive statistics.
Post test
Method
N
Mean
Std. deviation
Std. error
95% Confidence interval for mean
Lower bound
Upper bound
Teacher centered
31
9.48
1.947
0.350
8.77
10.20
Teacher-Student interactive
31
9.84
1.675
0.301
9.22
10.45
Learner centered
31
9.65
1.644
0.295
9.04
10.25
Total
93
9.66
1.748
0.181
9.30
10.02

According to Table 13 and basing on the teaching method applied, the estimated  marginal mean estimates reveal that teacher-student interactive approach produced the high mean  score (mean=9.84), followed by the student-centered approach  (mean= 9.65) and the lowest mean score (mean=9.48) was recorded for the teacher-centered approach. The mean estimates for all the three teaching methods fall within the 95% confidence interval bands.

To detect which of the three teaching methods assessment  mean scores differed significantly from one another; the Tukey HSD post hoc test was applied for the analysis Table 14. In light of the number of comparisons that were made, the Tukey post hoc approach was applied because of its power to control for alpha inflation.

Table-14. Tukey HSD post hoc tests.
(I)Teaching methods
(J)Teaching methods
Mean difference
(I-J)
Std. error
Sig.
95% Confidence interval
Lower bound
Upper  bound
Teacher centered
Teacher-Student interactive
-0.355
0.447
0.708
-1.42
0.71
Learner centered
-0.161
0.447
0.931
-1.23
0.90
Teacher-Student interactive
Teacher centered
0.355
0.447
0.708
-0.71
1.42
Learner centered
0.194
0.447
0.902
-0.87
1.26
Learner-Centered
Teacher centered
0.161
0.447
0.931
-0.90
1.23
Teacher –Student interactive
-0.194
0.447
0.902
-1.26
0.87

The Tukey post hoc tests results indicated that student performance assessment scores of the teacher-centered approach differed significantly from student performance assessment scores of teacher-student interactive approaches. No significant differences existed between performance scores of student-centered and teacher-centered methods. Even though there was no significant performance scores difference between teacher-student interactive and learner-centered instruction, Table 14.  indicates a bigger mean difference between the two methods than the difference between teacher-centered and student-centered instructions.

4.3. Average Normalized Gain

The normalized gain was introduced by Hake (1998) as a rough measure of the effectiveness of a course in promoting conceptual understanding of mechanics and has since become the standard measure for reporting scores on research based concept inventories. However, average normalized gain measures the tests relative score and it is therefore some sort of weighing function that compares the scores of students or groups of students. Hake define the average normalized gain (<g>) as:

normalized gain is described as “the amount students learned divided by the amount they could have learned.” In addition, it is important to note that Hake advocated for the use of normalized gain because of its strength to differentiate between teaching methods despite allowing a consistent analysis over diverse students’ populations with widely varying initial knowledge. Besides, instructors can use it to compare their students’ learning to those of other students at different kind of institutions.

Figure-7. The <gain> versus maximum possible gain score for 93 students.

Hake divided average gain values in to high-g score  (<g> > 0.7), medium-g  score  (0.7> <g> ≥ 0.3) and low-g score (<g> < 0.3). Figure 7 shows learner-centered instruction <gain>, teacher-centered instruction<gain> and teacher-student interactive instruction <gain> on Graphical Interpretation Skills and Conceptual Understanding of Kinematical Motion as 0.25, 0.26 and 0.28 respectively. Besides, Figure 7 further shows that the average normalized gain for learner-centered, is slightly lower than teacher-centered and teacher- student interactive instructions though all lie in the bottom part of  low-g region. This implies that teacher-student interactive instruction  despite scoring higher  does not completely surpass  the teacher-centered and learner-centered instructions. Table 15 shows that the summary result of the investigation and it is seen that students with teacher-student interactive instruction  have  a better gain than students with teacher-centered and learner-centered instruction.

Table-15. The difference between pre-test and post-test with in a group in terms of <gain>.
Group
Pre-test %
Post-test %
Gain
Learner-Centered
52.1
64.3
0.25
Teacher-Student interactive
52.0
65.6
0.28
Teacher-Centered
50.1
63.2
0.26

5. DISCUSSIONS, CONCLUSIONS AND RECOMMENDATIONS

This chapter provides the discussions on major findings, conclusions drawn from the findings, makes recommendations and brings out suggestions for further research.

5.1. Discussion

The comparative effectiveness of learner-centered , teacher- student interactive  and teacher-centered instruction on students’ academic performance in kinematical motion: graphical interpretation and conceptual understanding was examined.

First and foremost, the background survey to students in the experimental and control groups was administered to determine whether the groups differed with respect to the background variables or not. The chi-squaretest results showed that there was no significant difference in background variables between the three groups. Moreover, a pre-test was administered to students in the experimental and control groups to determine whether the groups differed with respect to the achievement in pre-test, and the one- way ANOVA test analysis of the results revealed that, no pre-existing difference between the three  groups regarding students pre-test achievement existed, yielded  F (2, 85) = 0.130, p > 0.05). The idea of determining similarities between the students in the experimental and control groups regarding background variables and pre-test scores were a good starting point as it was a baseline for the study before the treatments.

The result of the study indicated that teacher–student interactive instruction significantly surpassed teacher-centered instruction in terms of academic performance of students. However, this difference was less significant between students taught using learner-centered and students taught using teacher-centered. The normalized average gain analysis conducted showed the gain in academic performance  of students in improving Graphical Interpretation Skills and Conceptual Understanding of kinematical Motion  of  <g>=0.25, <g>=0.26 and <g>=0.28 for learner-centered, teacher-centered and teacher-student interactive instruction respectively. In short teacher- student interactive instruction was the most effective method in this study.  The one-way ANOVA test F (2, 93) = 0.316, p > 0.05) analysis showed no significant difference in the three groups’ instructions in improving students‟ Graphical Interpretation Skills and Conceptual Understanding of kinematical Motion. Descriptive analysis of the students’ post-test means for teacher-centered, learner-centered and teacher-student interactive instruction were 9.48 out of 15 questions, 9.65 out 15 questions and 9.84 out of 15 questions respectively.  The mean scores were higher compared to  pre-tests mean scores shown in table 4.7.  implying that each teaching instruction recorded an improvement in academic performance. During the treatment period (three weeks), it was observed that, students in the experimental groups were actively participating than those in the control group.  From this study, it can be deduced that teacher-student interactive instruction appears to be more promising  for marked improvement over learner-centered instruction  and teacher-centered instruction.

The finding of this study agrees with the findings of Ganyaupfu (2013) contrary to the findings of Banda et al. (2014), Tababal and Kahssay (2011) and Sogoni (2017) whose  results favour learner- centered instructions. However, on the aspect of student-centered compared to teacher-centered instruction, this study agrees that student-centered instruction is better.

As if in keeping with the findings of Hake (1998) the study has shown that teacher-student interactive instruction agrees that interactive engagement strategies can increase the effective teaching of kinematics and consequently mechanics-course by far if compared to teacher dominant instruction.

Hake studied 62 introductory physics courses involving about 6500 students. In his survey, he used a pre and post-test to assess students’ learning from these courses. From the data he acquired on various teaching methodologies he was able to compare the product of each methodology. Hake’s findings support that active teaching methods (described as interactive engagement methods in his study) generally produce greater student learning and develop stronger problem solving skills than more teacher dominant methods. Furthermore, a study conducted by Ellis and Tuner (2002) on learner-centered approach to teach kinematics through graphical analysis supported  this approach saying it was successful for increasing conceptual understanding of kinematics as well as increasing student interest in the study of physics which is in keeping with this study.

5.2. Conclusion

The main objective of this study was to investigate whether there are significant differences in the effectiveness of learner-centered, teacher-student interactive and teacher-centered instructions on students’ academic performance in kinematics. The approaches employed were cooperative learning using jigsaw, research and discussion and lecture method respectively. It was found that students had better academic achievement in kinematics when taught using teacher-student interactive instruction, followed by learner centered instruction and teacher-centered instruction was the least despite recording a greater gain than learner-centered instruction. It was also found that teacher-student interactive and learner centered instructions were  more effective in enhancing development of science process skills than teacher-centered instruction. Furthermore, the study revealed that teacher–student interactive and learner-centered instruction was more effective in enhancing attitude in kinematics than teacher-centered instruction. Finally, it was observed that approaches that are student biased such as cooperative learning method enhances interaction between resources and learners and may promote performance in physics and science in general. Overall, teacher-student interactive instruction through research and group discussion had to a large extent been successful in enhancing performance in kinematics among PHY110 students at  Mufulira College of Education in Mufulira district of the Copperbelt province of Zambia. Since the number of participants is small and from one college out of the fourteen public colleges of education, there is a limitation about the generality of this study and as such the results are only generalized to PHY110 cohort of  MUCE.

The findings also showed the achievement of the student-centered groups’ academic performance was be better than that of the teacher-centered group. In other words, student-centered instruction is highly probable to cause significantly better understandings of scientific conception and elimination of alternative concepts than teacher centered instruction. In short, evidence from  researchers in physics teaching and learning shows that teacher-centered instructional methods, largely lecture and problem solving, are not effective methods for promoting student learning in physics (Hake, 1998).

Owing to the fact that learning is a process that involves inquiry, formulation, reasoning and application of appropriate strategies to solve problems, teachers ought to understand  that it becomes more effective if the students  perform tasks in process of learning  rather than just rote memorization of  some information. An environment with a presentation from the lecturer coupled with  a lecture does not enhance learners’ participation nor build the required level of reasoning among students. Students’ understanding of the main concepts grows more effectively when they are engaged in problem solving activities during and after class work.

5.3. Recommendations

The following recommendations were made:

  1. Research and discussion to be used as a dominant instruction in teaching kinematics to enhance inquiry based learning among students.
  2. Research and discussion to be used in learning of kinematics as it promotes objective debate among students that promote problem solving.
  3. Cooperative learning using jigsaw to be used in learning in order to improve academic achievement in kinematics.
  4. Cooperative learning using jigsaw to be used in learning in order to improve development of science process skills in kinematics.

5.4. Suggestions for Further Research

The study did not cover all matters related to teaching and learning kinematics in all colleges of education especially public colleges. There were other issues that came up in the study that require further investigation. These include:

  1.  Studies involving other techniques under learner centered instructions other than cooperative leaning using jigsaw technique.
  2.  Studies involving a larger sample and more colleges of education offering PHY110 or any similar undergraduate physics course to ascertain the consistence in the result in the whole country.
  3.  Studies involving other topics in physics other than kinematics.
  4.  Studies involving gender differences on performance in kinematics.
  5.  Studies using a different research designs.

6. ACKNOWLEDGEMENT

I am very grateful to my supervisor Mr. David Chituta for the time he devoted to guide me on the writing of this dissertation. I wish to thank my wife, Christine Chisanga Mvula for moral and financial support she rendered to me in the course of the study. Her patience and encouragement made me accomplish this work. I wish to sincerely thank my children, Anderson, Faith and Blessing for their encouragement and inspiration. I also wish to thank the principal of Mufulira College of Education, Mr. Lukonde Chileshe who not only allowed me space to do the study with the college students but also encouraged  me to do the study.  Finally, I am indebted to students who were the respondents in the study, my close friends and colleagues Shadreck Chitoshi , Ephraim Chongo, Clifford Malumbe, Trywel Milambo and Derreck Musonda with whom I shared ideas throughout the study.

REFERENCES

Acat, B. and İ. Dönmez, 2009. To compare student centred education and teacher centred education in primary science and technology lesson in terms of learning environments. Procedia-Social and Behavioral Sciences, 1(1): 1805-1809.

Banda, B., V. Mudenda, E. Tindi and K. Nakai, 2014. Towards learner centred science lessons in Zambia: An Experience of Problem Solving Approach in Biology Lessons. Zambia Journal of Teacher Professional Growth, 2(1): 86-92.

Beichner, R.J., 1994. Testing student interpretation of kinematics graphs. American Journal of Physics, 62(8): 750-762.Available at: https://doi.org/10.1119/1.17449.

Borg, W.R. and M.D. Gall, 1979. Educational research: An introduction. London: Longman.

Boud, D. and G. Feletti, 1999. The challenge of problem-based learning. 2nd Edn., London: Kogan.

Brasell, H., 1987. The effect of real-time laboratory graphing on learning graphic representations of distance and velocity. Journal of Research in Science Teaching, 24(4): 385-395.Available at: https://doi.org/10.1002/tea.3660240409.

Breithaupt, J., 2003. Physics. 2nd Edn., Basingstoke, Hampshire RG21 6XS and 175 Fith Avenue, NewYork: Palgrave Mac Millan,Houndmills. pp: 130-143.

Carson, R. and S. Rowlands, 2005. Mechanics as the logical point of entry for enculturation into scientific thinking. Science Education, 14(3-5): 473-492.Available at: https://doi.org/10.1007/s11191-004-1791-9.

Cohen, L., L. Manion and K. Morrison, 2005. Research methods in education. London and New York: Routledge Falmer.

Damodharan, V.S. and V. Rengarajan, 1999. Innovative methods of teaching, national research council. Educational Journal Publication.

Ellis, G. and W. Tuner, 2002. Improving the conceptual understanding of kinematics through graphical analysis. Proceedings of the American Society for Engineering Education Annual Conference & Exposition.

Ganyaupfu, E.M., 2013. Teaching methods and students’ academic performance. International Journal of Humanities and Social Science Invention, 2(9): 29-35.

Greitzer, F., 2002. A cognitive approach to student-centered e-learning. Human Factors and Society 46th Annual Meeting.

Hake, R.R., 1998. Interactive-engagement versus traditional methods: A six-thousand-student survey of mechanics test data for introductory physics courses. American Journal of Physics, 66(1): 64-74.Available at: https://doi.org/10.1119/1.18809.

Hale, P., 2000. Kinematics and graphs: Students’ difficulties and CBLs. Connecting Research to Teaching, 9(6): 414-417.

Hesson, M. and K.F. Shad, 2007. A student-centered learning model. American Journal of Applied Sciences, 4(9): 628-636.

Jacoby, L.L., 1978. On interpreting the effects of repetition: Solving a problem versus remembering a solution. Journal of Verbal Learning and Verbal Behavior, 17(6): 649-667.Available at: https://doi.org/10.1016/s0022-5371(78)90393-6.

Lindquist, T.M., 1995. Traditional versus contemporary goals and methods in accounting education: Bridging the gap with cooperative learning. Journal of Education for Business, 70(5): 278-284.Available at: https://doi.org/10.1080/08832323.1995.10117764.

McDaniel, M.A., A. Friedman and L.E. Bourne, 1978. Remembering the levels of information in words. Memory & Cognition, 6(2): 156-164.Available at: https://doi.org/10.3758/bf03197441.

McDermott, L.C., M.L. Rosenquist and E.H. Van Zee, 1987. Student difficulties in connecting graphs and physics: Examples from kinematics. American Journal of Physics, 55(6): 503-513.Available at: https://doi.org/10.1119/1.15104.

Mesic, V., 2015. Comparing the impact of dynamics and static media on students’ learning of one-dimensional Kinematics. Eurasia Journal Mathematics, Science and Technology, 11(5): 1119-1140.Available at: https://doi.org/10.12973/eurasia.2015.1385a.

Monk, S., 1994. How students and scientists change their minds. MAA Invited Address at the Joint Mathematics Meetings, Cincinnati, Ohio, January, 1994.

Mugenda, O.M. and G.A. Mugenda, 2003. Research methods qualitative and quantitative approach. Nairobi: Acts Press.

Mvula, A.K., C. Karuiki and S. Karanja, 2015. Excel and advance in Physics learner’s book 10. Longhorn, Nairobi, Kenya: pp: 75-85.

Mwanza, F. and A.K. Mvula, 2014. An exploration of teacher-confidence in conducting ‘O’ level physics hands-on activities in using the mobile science laboratory: A case of  secondary school teachers  in ten (10) Provinces of Zambia. Zambia Journal of Teacher Professional Growth, 2(1): 39-54.

Nagaraju, C., G. Madhavaiah and S. Peter, 2013. Teacher-centred learning and student-centred learning in english classroom: The teaching methods realizing the dreams of language learners. International Journal of Scientific Research and Reviews, 2(3): 125-131.

Nemirovsk, R. and Rubin, 1992. Students tendancy to assume resembrances between a function and its derivative. Cambridge, Mass: TERC Communications Working Paper, No. 2-92.

Saga, B., 2015. The changing role of the teacher: 5 ways to adapt. Available from https.www.opencolleges.edu.au/informed/features/thechanging-role-of-the-student-9-ways-adapt-in-2015 [Accessed 10th March 2016].

Saribas, D., 2009. Is It possible to improve science process skills and attitudes towards Chemistry through the development of metacognitive skills Embedded within a Chemistry Lab?: A Self-regulated Learning Approach.

Selim, M.A. and R.L. Shrigley, 1983. The group dynamics approach: A sociopsychological approach for testing the effect of discovery and expository teaching on the science achievement and attitude of young egyptian students. Journal of Research in Science Teaching, 20(3): 213-224.Available at: https://doi.org/10.1002/tea.3660200305.

Slavin, R.E., 1996. Research on cooperative learning and achievement: What we know, what we need to know. Contemporary Educational Psychology, 21(1): 43-69.Available at: https://doi.org/10.1006/ceps.1996.0004.

Sogoni, P.K., 2017. Performance In Kinematics using cooperative learning among secondary school students In Sabatia Sub-County, Kenya. Unpublished dissertation ,Masinde Muliro University of Science, Kenya.

Tababal, A. and G. Kahssay, 2011. The effects of student-centered approach in improving students’ graphical interpretation skills and conceptual understanding of kinematical motion. Latin-American Journal of Physics Education, 5(2): 374-381.

Wagner, C. and A. Vaterlaus, 2011. A model of concept learning in physics. Conference Proceedings, Frontiers of Fundamental Physics FFP12. Available from http://www.fisica.uniud.it/ffp12/proceedings.html.

Zakaria, E., C.L. Chin and Y. Daud, 2010. The effect of cooperative learning on student mathematics achievements and attitude towards mathematics. Journal of Social Sciences, 6(2): 272-275.Available at: http://dx.doi.org/10.3844/jssp.2010.272.275.

Zohrabi, M., M.A. Torabi and P. Baybourdiani, 2012. Teacher-centered and/or student-centered learning: English language in Iran. English Language and Literature Studies, 2(3): 18-30.Available at: https://doi.org/10.5539/ells.v2n3p18.

APPENDICES

Appendix 2 : Introductory Letter

MVULA ANDERSON KAMBANI

The Copperbelt University

School of Post Graduate

Kitwe, Zambia.

Dear Respondent,

RE: RESEARCH PROJECT

I am a student at The Copperbelt University pursuing a Master of Science Physics Education Degree in the

School of Post Graduate Studies. I am carrying out an investigation on ‘Teaching Methods and Students Academic Performance in Kinematical Motion: graphical Interpretation and conceptual understanding’ at Mufulira College of Education. You have been selected as a respondent in this survey. The success of the research substantially depends on your cooperation. I hereby request you to respond to the questionnaire items as objectively as possible and to the best of your knowledge.

The questionnaire is designed for the purpose of this study only, therefore the responses will absolutely be confidential and anonymously given. No name will be required from you.

Thanking you in advance.

Yours Faithfully,

Mvula Anderson Kambani

Appendix 3: Questionnaire on background Variables

MUFULIRA COLLEGE OF EDUCATION

2019

QUESTIONNAIRE

Investigation of Background Variables and Pre-test

This questionnaire is for collecting information purely for academic purposes about the teaching of physics and students’ academic performance in kinematics at a College of Education. The information collected will be confidential and only used for the intended purpose. Do not disclose your identity by writing your name or that of the school on this questionnaire.

This questionnaire is for academic purposes only.

Year of study:…………………………..

Duration: 5 minutes

Instructions

Appendix 4: Pre-test

The following graph represents the position as a function of time of a moving object. Use this graph for
questions 1 and 2.

  1. What is the  position of the object after 1s?

A. 5 m      B. 4 m        C. 3 m    D. 6 m       E. 10 m

  1. What is the velocity of the object?

A. 5 m/s               B. -5 m/s                 C. 10 m/s                 D. -10 m/s                   E. 0 m/s

Use the graph below to answer question 3 and 4.

  1. What is the velocity of the object at 5 s ?

A. 1 m/s           B. 2 m/s       C. 3 m/s         D. 4 m/s     E. 5 m/s

  1. The graph represents the relationship between velocity and time for an object moving in a straight line. What is the traveled distance of the object at 9 s?

A. 10 m           B. 24 m       C. 36 m         D. 48 m     E. 56 m

The position vs. time graph of a moving object is shown to the right.  Use this graph to answer questions 5 through 7.

  1. What is the average speed from 0 s to 4 s?

A. 0.5 m/s             B. 1 m/s                 C. 2 m/s           D. 3 m/s     E. 4 m/s

What is the total displacement between 0 s to 4 s?

A. 8 m          B. 16 m               C. 32 m                  D. 10 m                E. 4 m

  1. What is the object’s position at 6 s?

A. 2  m                 B. 1 m               C. 3 m           D. 7 m             E. 9 m

  1. For the objects shown in the graph, which is fastest?
  1. For an object traveling at a constant velocity
    1. average velocity is greater than instantaneous velocity
    1. instantaneous velocity is greater than average velocity
    2. instantaneous velocity and average velocity are the same
    3. can't tell from the data given
    1. instantaneous velocity changes, but average velocity stays the same
  1. Which has zero acceleration? An object
    1. at rest.
    2. moving at constant velocity.
    3. moving at a constant speed in a straight line.
    4. all of these.
    5. none of these.
  2.  As an object falls downward (neglecting air resistance), its
    1. velocity remains constant while acceleration increases
    2. velocity decreases while acceleration increases
    3. velocity increases and acceleration increases.
    4. velocity and acceleration remain constant
    1. velocity increases and acceleration remains constant.
  1. Which one of the following equations calculates displacement?
  1. A car moving at a velocity 50m/s would avoid hitting a dog crossing at 200m in front if the driver stopped after 2s reaction time.
    1. False
    2. True
    3. May be
    4. yes, if the driver swayed the car
    5. None of the above
  2. Uniform  acceleration means
    1. object is at rest
    2. object is moving fast
    3. object is continuously changing speed
    4. Speed is constantly increasing
    5. speed is constantly decreasing

End of Test

Mufulira College of Education

2019

Pre-Test Answer Grid

Appendix 5: Post-test

Appendix 6 : Post-test

  1. What is the acceleration of the object?
  1. The acceleration-    time graphs all have the same scale. Which graph best depicts a car with greatest change in velocity after some time?
  1. An object is observed to have zero acceleration.  Which of the following statements must be true?

A.    The object is losing speed.

B.    The object is moving with changing speed.

C.    There is no air resistance on the object.

D.    The object has a constant velocity.

E.   The object has zero time

  1. A car driving down the freeway has a constant velocity.  Which of the following statements must be true?

A.  The car has zero acceleration.

B.  The car is moving in a circular path.

C.  There is no friction acting on the car.

D.  The car is speeding up.

E.  The car has constant acceleration

  1. A ball starting from rest accelerates uniformly to 5.0 meters per second as it covers a displacement of 40 meters. How much time is required for the ball to cover the 40 meters?

A.    2.8 s    B.  8.0 s     C. 16 s   D.  4.0 s   E.   5.0 s

The speed of a car is decreased uniformly from 30 meters per second to 10 meters per second in 4.0 seconds. The magnitude of the car’s acceleration is

A.    5.0 m/s2     B.  10. m/s2     C.  20. m/s2    D.   40. m/s2     E.   6.0 m/s2

  1. What is the average acceleration of a car that goes from rest to 60 m/s in 6 seconds.
  2. 8 m/s2     B.  13 m/s2    C.  7.5 m/s2    D.  10 m/s2     E.  None of the above
  3. How long does it take to accelerate an object from rest to 10 m/s if the acceleration was 2 m/s2?

A.  10 seconds    B. 5 seconds    C. 15 seconds    D. 2 seconds      E. 20 seconds

  1. A sports car accelerates uniformly from an initial velocity of 10m/s to a final velocity 20m/s in time 2s. What is the acceleration of a sports car?
  2. 20m/s2   B.10m/s2   C. 40m/s2   D.  5m/s2   E. 200m/s2
  3. A car moving at a velocity 50m/s would avoid hitting a dog crossing at 200m in front if the driver stopped after 2s reaction time.

         A. False    B. True   C. May be   D. yes, if the driver swayed the car   E. None of the above

End of Test

Mufulira Coll Ege of Education

2019

Post-Test  Answer Grid

GROUP NO.:…………….            NAME:………………………….

Appendix 7: Pre-Test Marking Scheme

Total Marks: 15

Appendix 8: Post –Test Marking Scheme

Total Marks: 15

Appendix 9: Research Budget

The budget for the materials and services to wards the research studies.

The figures are estimated based on the current prices.

Item        
Price / Cost (K)
Writing Materials
160.00
Typing Services
100.00
Traveling Expenses  
1000.00
Photocopy  
50.00
Binding      
100.00
Other Expenses 
600.00
Total.  
2,010.00

Appendix 10: Research Time

Data Collection, Analysis & Thesis writing
January  - April 2019

1. Monk, S, 1994. "How students and scientists change their minds." MAA invited address at the Joint Mathematics Meetings, Cincinnati, Ohio, January, 1994.

2. Wagner, C. and Vaterlaus, A, 2011. A Model of concept learning in physics. Conference proceedings, Frontiers of Fundamental Physics FFP12. http://www.fisica.uniud.it/ffp12/proceedings.html.

Online Science Publishing is not responsible or answerable for any loss, damage or liability, etc. caused in relation to/arising out of the use of the content. Any queries should be directed to the corresponding author of the article.