Index

ABSTRACT

This study examined the moderating role of teaching experience in the relationship between subject matter knowledge (SMK) and students’ performance in elective mathematics in Senior High Schools (SHS) in Ghana. The study employed the positivist philosophy in its enquiry. Specifically, the study was targeted at SHS in five regions (Central, Western, Northern, Greater Accra, and Ashanti). The population for this study comprised SHS 2 elective mathematics teachers and their corresponding elective mathematics students. Through a multi-stage sampling technique, 225 elective mathematics teachers were selected from 45 SHS in the five regions. For each of the teachers, 30 students were sampled from their classes to participate in the study. The mean performance of the students in each class was computed and associated with the respective teacher. The study revealed that SMK is a significant and positive predictor of students’ performance in elective mathematics. Despite the non-significant relationship revealed between teaching experience and students’ performance in elective mathematics, the results showed that teaching experience significantly moderated the relationship between SMK and the performance of students in elective mathematics. It is recommended to Ghana Education Service (GES) that, when hiring teachers with excellent subject matter knowledge, considerations should be given to those with much experience. Again, enough motivation should be provided for knowledgeable in-service elective mathematics teachers to remain in the classroom for longer periods, gaining the much-needed experience to improve the performance of elective mathematics in the senior high schools.

Keywords: Teacher subject matter knowledge, Senior High School, Elective mathematics performance, teaching experience, SHS 2 elective mathematics students, SHS 2 elective mathematics teachers.

DOI: 10.20448/804.5.1.87.95

Citation Joseph Kweku Ansah; Natalia Mensah; Eric Magnus Wilmot (2020). Influence of Subject Matter Knowledge on Students’ Elective Mathematics Performance in Senior High Schools in Ghana: Does Teaching Experience Matter? American Journal of Education and Learning, 5(1): 87-95.

Copyright: This work is licensed under a Creative Commons Attribution 3.0 License

Funding : This study received no specific financial support.

Competing Interests: The authors declare that they have no competing interests.

History : Received: 20 March 2020 / Revised: 22 April 2020 / Accepted: 25 May 2020 / Published: 15 June 2020.

Publisher: Online Science Publishing

Highlights of this paper

  • This study examined the moderating role of teaching experience in the relationship between subject matter knowledge (SMK) and students’ performance in elective mathematics in Senior High Schools (SHS) in Ghana.
  • The study employed the positivist philosophy in its enquiry. Specifically, the study was targeted at SHS in five regions (Central, Western, Northern, Greater Accra, and Ashanti).

1. INTRODUCTION

Sustainable Development Goal (SDG) 4 ensures inclusive and equitable quality education and promotes lifelong learning opportunities for all. One major indicator for the realisation of SDG 4 (Education Agenda 2030) is teacher quality. Teacher quality is widely recognised by policymakers, practitioners, and researchers alike to be the most powerful school-related influence on a student’s academic performance (Gichuru & Ongus, 2016). Fenster (2014) maintains that a teacher who is highly effective improves both students’ academic learning in the short-term and their long-term quality of life. The quality of the teacher in any school setting is claimed to be the most critical component for improving student performance and closing achievement gaps (Gichuru & Ongus, 2016).

The West Africa Examination Council (WAEC), for a number of decades has been the only body in Ghana especially for assessing the performance of students at the end of Junior High School (JHS) as well as Senior High School (SHS) levels. A number of concerns have been expressed by a large number of citizens on students’ failure rate, especially in mathematics. Various attempts have been made in the past to improve the performance of mathematics in schools. In spite of government efforts, however, mathematics has not undergone many changes in terms of how it is presented. This reflects consistently in low achievement levels in mathematics among students at the SHS (Agyei, 2010). It is regrettable, therefore, that in contemporary times, many students struggle with core mathematics and perform abysmally low in their final examinations in most jurisdictions (Obasi, 2010). According to the Chief Examiner’s Report (2007) for example, candidates exhibit a poor understanding of mathematical concepts and are unable to form the appropriate mathematical models which could be tackled with the requisite skills. Performance in elective mathematics as well is not too encouraging. Taking a look at the performance of students in elective mathematics in WASSCE from 2013 – 2017, more than 50% of the students had grades from D7 – F9, apart from the year 2016 where D7 – F9 was a little over 43%. For the years 2014 and 2015, more than half of the students who took the elective mathematics examination failed, and 41.58% failed in 2017 (West African Examination Council, 2018).

Studies have shown that a lot of factors influence the mathematics performance of students; teacher quality and non-teacher quality such as school factors (e.g., (Bidya, 2003; Kosgei, Mise, Odera, & Ayugi, 2013; Ofem, Iyam, & Bassey, 2015) ). Students’ performance may indeed be shaped by the extent of the use of creative teaching materials, quality of such materials, effective teaching techniques employed by the teachers, and resources available during the teaching and learning processes. Numerous perennial problems plaguing our educational system today are indeed the school system itself and the dearth of teacher quality (Bidya, 2003). It has been established that there is a high correlation between what teachers know and what they teach. Thus, the ability to teach effectively depends on the teachers’ knowledge of the subject matter. Teachers are handicapped if they are unfamiliar with the body of knowledge taught and teachers’ characteristics are subject-specific. Adediwura and Tayo (2007) stated in their study that nobody could teach what he does not understand or know. They went further to state that teachers must thoroughly understand the content of what they teach. Teachers whose understanding of the topic is thorough use clearer language, their discourse is more connected, and they provide better explanations than those whose background is weaker.

Scholars have also indicated that one common indicator of teacher quality is the teaching experience expressed in terms of the number of years of teaching a teacher has in the classroom setting (Borisade, 2011; Dele-Rotimi & Oyinlana, 2014). Teacher experience has a significant effect on pupils’ performance in primary schools and at the upper secondary level. Experienced teachers have a richer background of experience to draw from and can contribute insight and ideas to the course of teaching and learning, are open to correction and are less dictatorial in the classroom (Kosgei et al., 2013). Olaleye (2011) posited that students taught by more experienced teachers achieve at a higher level because their teachers have mastered the content and acquired classroom management skills to deal with different types of classroom problems. Furthermore, experienced teachers are considered to be able to concentrate on the most appropriate way to teach particular topics to students who differ in their abilities, prior knowledge and backgrounds (Wirth & Perkins, 2013). 

Some other studies (eg. (Borisade, 2011; Ewetan & Ewetan, 2015)) suggested contrarily to the years of experience having an impact on student performance. Hu and Bentler (1998) suggested that, in many instances, the correlation between years of experience and student performance is statistically weak and therefore cannot contribute to a strong assumption of the effect. If there is a positive correlation between the performance of students and teacher experience, then it is only because the more experienced teachers teach higher-level classes with high achieving students. Simply put, senior teachers can choose to teach in better schools (Borisade, 2011) suggested that due to eldership within organizations and institutions, experienced teachers choose to teach higher-level classes with more high achieving students. Due to these factors, it is difficult to conclude that teaching experience alone can impact student performance.

Several (eg (Goldhaber & Anthony, 2003; Harber et al., 2012; Kane, Rockoff, & Staiger, 2008) studies show that even though teaching experience impacts student performance, it levels off at some point. Harber et al. (2012) for instance, suggested first-year teachers have much lower performance on average than other teachers. After that, teacher performance improves markedly, peaking in the teacher’s fourth year. A study by Kane et al. (2008) concluded teachers make long strides in their first three years, with very little experience- related improvement after that. Goldhaber and Anthony (2003) in their paper titled, Teacher Quality and Student Achievement, suggested, teacher experience may predict teacher effectiveness, but there is very little evidence of this beyond the first couple of years of teaching. Page and Rosenthal (1990) had stated earlier on that, most successful schools employ the services of both experienced teachers and new teachers. While the new teachers bring fresh ideas and enthusiasm, the experienced teachers mentor the new teachers and provide stability to the school.

It has been suggested that teacher experience effects may be evident for a longer period of time (Lai, 2011; Rivers & Sanders, 2002; Stronge, Ward, Tucker, & Hindman, 2007) . Drawing from the earlier assertion, it can be stated that experience is when teachers have taught for a long period of time, and that is when its effect is felt. Lai (2011) has argued that experienced teachers tend to be effective because they have interacted with the subject matter for some time with several categories of students. This puts them in a better position to impact very well. There appears to be an interaction between subject matter knowledge and experience. That is to say that a teacher can have mastery over subject matter but would not be effective as another teacher who has much experience in addition to mastery over the content area. Lai (2011) assertion was without evidence but based on his experience. This study, thus, aims to empirically find out whether the experience would moderate the relationship between subject matter knowledge and elective mathematics performance. To achieve this aim, the study would find out: (a) the relationship between teacher subject matter knowledge and students’ elective mathematics performance; (b) the relationship between teaching experience and students’ elective mathematics performance; (c) the role of experience in the relationship between teacher subject matter knowledge and performance of students in elective mathematics.

A conceptual framework was developed to explain how the variables in the study are related Figure 1.

Figure-1. Conceptual framework depicting the moderating role of experience in the relationship between SMK and students’ elective mathematics performance.

1.1. Hypotheses

The following hypotheses were articulated:

  1. H1: There is a significant relationship between teacher subject matter knowledge and performance of students in elective mathematics.
  2. H1: There is a significant relationship between teaching experience and performance of students in elective mathematics.
  3. H1: Teaching experience significantly moderates the relationship between teacher subject matter knowledge and performance of students in elective mathematics.

2. RESEARCH METHODS

The study employed the positivist philosophy in its enquiry. Positivists use quantitative methods such as a structured questionnaire to look at relationships and correlations between two or more variables (comparative methods) (Creswell, 2012). A descriptive survey was employed in order to accomplish the purpose of the study.

This study covered Senior High Schools in Ghana. Specifically, the study was targeted at SHS in five regions (Central, Western, Northern, Greater Accra, and Ashanti). The population for this study comprised SHS 2 elective mathematics teachers and their corresponding elective mathematics students. The first-year students had not covered enough of the SHS elective mathematics curriculum to perform well on the items whereas the third years were about to write their final examination and therefore were not available to participate in the study.

Through a multi-stage sampling technique, 225 elective mathematics teachers were selected from 45 SHS in the five regions. For each of the teachers, 30 students were sampled from their classes to participate in the study. Majority of the items on the teachers’ instrument was adapted from the Knowledge of Algebra for Teaching (KAT) project at Michigan State University (MSU). Most of the contexts and wording of the questions in the KAT instrument were changed to reflect Ghanaian contexts as part of the adaptations. The validity and reliability of the instrument were established. The students were also given a standardised achievement test developed and validated by Michigan State University (MSU).

For each class, the mean performance of the students was computed and associated with the respective teacher (i.e. the teacher who teaches the class). Thus, each of the 225 teachers had a mean achievement score from the sampled students he/she teaches. These mean scores were associated with the teacher’s subject matter knowledge and experience in teaching. Structural Equation Modelling was used to analyse the data using the Analysis of Moment Structures (AMOS).

3.RESULTS

Observed, endogenous variable:

Observed, exogenous variables

Unobserved, exogenous variable

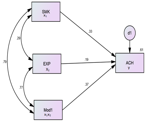
Figure-2. Moderating role of experience in the relationship between subject matter knowledge and academic performance in elective mathematics.

The model in Figure 2 is represented as

y = .33x1 + .19x2+ .37x1 x2+ d1                                   (1)

Figure 2 shows the moderating role of teaching experience (EXP) in the relationship between Subject Matter Knowledge (SMK) and Academic Performance (ACH) in elective mathematics. It can be seen that teaching experience moderates the relationship between subject matter knowledge and academic performance. Specifically, it can be seen that the interaction term Mod1(X1X2) plays a significant role since it predicts academic performance higher with a standardised beta score of .37 Equation 1. Table 1 presents the results as shown in Figure 2 in a tabular form.

Table-1. Moderating role of experience in the relationship between subject matter knowledge and academic performance in elective mathematics.
B
S.E.
Beta
C.R.
P
ACH
<---
SMK
1.741
.603
.331
2.888
.004
ACH
<---
EXP
.969
.583
.186
1.663
.096
ACH
<---
SMK_EXP
.200
.094
.366
2.114
.034

Note: R2- .609                   
Source: Field Survey.

H1: There is a significant relationship between teacher subject matter knowledge and performance of students in elective mathematics.

This hypothesis sought to test whether SMK has a relationship with performance in elective mathematics. The results, as shown in Table 1, revealed that SMK is positively related to elective mathematics performance. A unit increase in SMK was found to have 1.741 unit increase in performance in elective mathematics. In effect, it was found that SMK is a significant and positive predictor of students’ performance in elective mathematics (β=.331, p=.004) indicating that elective mathematics teachers with rich SMK would have students who perform so well in elective mathematics.

H1: There is a significant relationship between teaching experience and performance of students in elective mathematics.

This hypothesis tested whether a significant relationship existed between teaching experience and performance in elective mathematics. It was found that a non-significant relationship was existing between teaching experience and students’ performance in elective mathematics (β=.186, p=.096).

H1: Teaching experience significantly moderates the relationship between teacher subject matter knowledge and performance of students in elective mathematics. Table 1 shows clearly that teaching experience moderates the relationship between subject matter knowledge and academic performance in elective mathematics. The interaction term SMK_EXP predicts performance (.366) significantly (p<.05). The p-value of .034 (significant) is less than the .05 significant level. Thus, it can be concluded that teaching experience was found to moderate the relationship between teachers’ subject matter knowledge and students’ performance in elective mathematics.Again, the model recorded an R2 value of .609. This implies that the interaction term explained about 61% of the relationship between subject matter knowledge and academic performance. Therefore, teaching experience is found to significantly moderate the relationship between subject matter knowledge and academic performance of students in elective mathematics. Table 2 presents the model fit indices for the model.

Table-2. Model Fit Indices.
Fit Indices
Cut-off
Model in Figure 2
Reference
Chi-square (χ2)
Non-significant
.001, significant
Hair, Hult, Ringle, and Sarstedt (2006)
Goodness-of-Fit (GFI)
< .95
.429
Schumacker and Lomax (2004)
Adjusted Goodness-of-Fit (AGFI)
< .95
.257
Schumacker and Lomax (2004)
Standardized Root Mean Residual (SRMR)
< .08
.048
Hu and Bentler (1998)
Root Mean Square Error of Approximation (RMSEA)
< .07
.008
Hair et al. (2006)
Comparative Fit Index (CFI)
> .95
.999
Schumacker and Lomax (2004)
Tucker-Lewis Index (TLI)
> .95
.997
Schumacker and Lomax (2004)

Source: Field survey.

In Table 2 the model fit indices are shown. It can be seen that the model in Figure 2 is fit for the study since the main absolute fit index, the χ2 (chi-square) was found to be non-significant. The χ2 being non-significant implies that the model fits the data well. All the other indices, Goodness-of-Fit Index (GFI), adjusted goodness-of-fit index (AGFI), standardized root mean square residual (SRMR), root- mean square error of approximation (RMSEA), Comparative Fit Index (CFI) and Tucker-Lewis Index (TLI) show that the model is fitting for the study. Overall, Table 2 shows that the model is fitting for the study. The implication is that teaching experience significantly moderates the relationship between subject matter knowledge and the academic performance of students in elective mathematics. The results in Figure 2 and Tables 1 and Table 2 show that teaching experience significantly moderates the relationship between subject matter knowledge and the academic performance of students in elective mathematics.

4. DISCUSSION

The study revealed that SMK is a significant and positive predictor of students’ performance in elective mathematics (β=.331, p=.004) indicating that teachers with rich SMK would produce students who perform so well in elective mathematics. However, a non-significant relationship was revealed between teaching experience and students’ performance in elective mathematics. Again, the results of the study showed that teaching experience significantly moderated the relationship between subject matter knowledge and the performance of students in elective mathematics. This result implied that teachers with a lot of experience and are knowledgeable in their respective subjects can contribute to high performance among students. Therefore, teaching experience and subject matter knowledge work together to produce high performing students. This finding could be due to the fact that teachers who have taught for a long period of time are more likely to have sufficient knowledge about the subject that they teach. Thus, there is a mutual relationship between the two teacher variables which ultimately leads to high academic performance.

In the teaching of elective mathematics, both subject matter knowledge and teaching experience come to play. An inexperienced teacher who is highly knowledgeable in his subject matter may not impact his students significantly compared to an experienced teacher with sufficient knowledge in his subject matter. The finding of the current study confirms the findings of Dial (2008) who examined whether years of teaching experience and teacher’s level of knowledge have an effect on the overall achievement of students on the communication arts and mathematics sections of the Missouri Assessment Program. Dial found that the years of experience, as well as the interaction between years of experience and level of knowledge, had an effect on student achievement in both communication arts and mathematics. Similarly, the finding of the current study supports the finding of Ofem et al. (2015) who investigated the influence of teacher demographic variables on secondary school students’ academic achievement in Home Economics in Calabar educational zone of Cross River State. They found that the experience of the teacher together with the knowledge of the teacher acquired through training influenced significantly students’ academic achievement.

The findings of the studies of Dial (2008) and Ofem et al. (2015) together with the findings of the current study have confirmed that teaching experience can significantly moderate the relationship between subject matter knowledge and academic performance of students. Therefore, teachers who have excellent subject matter knowledge and more years of teaching experience are likely to have performing students in elective mathematics. Thus the two teacher variables together ensure better performance of students in elective mathematics.

5. CONCLUSIONS AND RECOMMENDATION

It can be concluded that SMK is a significant predictor of students’ academic performance in elective mathematics. Although experience did not directly predict students’ elective mathematics performance, it moderated the relationship between SMK and students’ elective mathematics performance. Thus it can be said that experience alone does not have the power of boosting students’ elective mathematics performance. However, when experience interacts with SMK, elective mathematics performance improves better than SMK alone. This suggests that the teacher does not only need SMK but also some level of experience to be effective.

It is recommended to Ghana Education Service (GES) that, when hiring teachers with excellent subject matter knowledge, considerations should be given to those with experience. Again, enough motivation should be given to knowledgeable in-service elective mathematics teachers to remain in the classroom for longer periods, gaining the much-needed experience to improve the performance of elective mathematics in the senior high schools.

REFERENCES

Adediwura, A., & Tayo, B. (2007). Perception of teachers' knowledge, attitude and teaching skills as predictor of academic performance in Nigerian secondary schools. Educational Research and Reviews, 2(7), 165-171.

Agyei, D. (2010). Information and communication technology use in mathematics. Retrieved from: http://www.slideshare.net/ddagyei/ict-use-in-the-teaching-of-mathematics

Bidya, R. S. (2003). District of palm beach country, Florida, United States. International Education Journal, 4(2), 20-31.

Borisade, F. (2011). Teacher qualities and school factors as correlates of academic performance of secondary school students in mathematics in Ekiti State, Nigeria. Journal of Research in Education and Society, 2(2), 173-179.

Creswell, J. W. (2012). Education research. Berkely: Carisle Communications Limited.

Dele-Rotimi, A. O., & Oyinlana, O. P. (2014). Effect of professionally qualified teachers on academic performance of junior Secondary School students in Mathematics: A Case Study of Ikere Local Government Area of Ekiti State. Journal of Research in Education and Society, 5(1), 60-64.

Dial, C. (2008). The effect of teacher experience and teacher degree levels on student achievement in Mathematics and communication arts. Unpublished Doctoral Thesis), Baker University, Missouri.  

Ewetan, T. O., & Ewetan, O. O. (2015). Teachers’ teaching experience and academic performance in Mathematics and English language in public secondary schools in Ogun State, Nigeria. International Journal of Humanities, Social Sciences and Education, 2(2), 123-134.

Fenster, E. D. (2014). Implications of teacher tenure on teacher quality and student performance. Unpublished Honours Thesis, Duke University Durham, North Carolina.  

Gichuru, L. M., & Ongus, R. (2016). Effect of teacher quality on student performance in mathematics in Primary 6 National Examination: A survey of private primary schools in Gasabo District, Kigali City, Rwanda. International Journal of Education and Research, 4(2), 237-259.

Goldhaber, D., & Anthony, E. (2003). Indicators of teacher quality. New York, NY: ERIC CLearinghouse Inc.

Hair, J. J. F., Hult, G. T. M., Ringle, C., & Sarstedt, M. (2006). A primer on partial least squares structural equation modelling (PLS-SEM). Thousand Oaks, CA, Sage Publications.

Harber, K. D., Gorman, J. L., Gengaro, F. P., Butisingh, S., Tsang, W., & Ouellette, R. (2012). Students' race and teachers' social support affect the positive feedback bias in public schools. Journal of Educational Psychology, 104(4), 1149.Available at: https://doi.org/10.1037/a0028110.

Hu, Y. K., & Bentler, P. M. (1998). Normal theory based test statistics in structural equation modelling. British Journal of Mathematical and Statistical Psychology, 51(2), 289-309.

Kane, T. J., Rockoff, J. E., & Staiger, D. O. (2008). What does certification tell us about teacher effectiveness? Evidence from New York City. Economics of Education Review, 27(6), 615-631.

Kosgei, A., Mise, J. K., Odera, O., & Ayugi, M. E. (2013). Influence of teacher characteristics on students' academic achievement among secondary schools. Journal of Education and Practice, 4(3), 76-82.

Lai, E. R. (2011). Critical thinking: A literature review. New York, NY: Pearson Education Limited.

Obasi, M. N. (2010). Urban-rural differential in teaching and learning of geography in Ahiazu Mbaise and Owerri Municipal Council in Imo State. Report and Opinion, 2(9), 41-50.

Ofem, O., Iyam, M., & Bassey, E. (2015). Teacher demographic variables and student’s academic achievement in secondary schools Home Economics in Calabar Educational zone of Cross River State. International Journal of Education Learning and Development, 3(6), 36-47.

Olaleye, F. (2011). Teacher characteristics as predictor of academic performance of students in secondary schools in Osun State–Nigeria. European Journal of Educational Studies, 3(3), 505-511.Available at: https://doi.org/10.7763/ijiet.2016.v6.778.

Page, S., & Rosenthal, R. (1990). Sex and expectations of teachers and sex and race of students as determinants of teaching behavior and student performance. Journal of School Psychology, 28(2), 119-131.Available at: https://doi.org/10.1016/0022-4405(90)90003-p.

Rivers, J. C., & Sanders, W. C. (2002). Teacher quality and equity in educational opportunity: Findings and policy implications. In T. I. Lance, & W. M. Evers, Teacher quality (pp. 13-23). Stanford, CA: Hoover Institution Press

Schumacker, R. E., & Lomax, R. G. (2004). A beginner’s guide to structural equation modeling. New Jersey: Lawrence Erlbaum Associates.

Stronge, J. H., Ward, T. J., Tucker, P. D., & Hindman, J. L. (2007). What is the relationship between teacher quality and student achievement? An exploratory study. Journal of Personnel Evaluation in Education, 20(3-4), 165-184.Available at: https://doi.org/10.1007/s11092-008-9053-z.

West African Examination Council. (2018). West Africa secondary school certificate examinations.elective Mathematics results (2013- 2017). Accra: WAEC Press.

Wirth, K. R., & Perkins, D. (2013). Learning to learn. Retrieved from www.macalester.edu/academics/geology/wirth/learning.doc . [Accessed May, 18, 2019].

Online Science Publishing is not responsible or answerable for any loss, damage or liability, etc. caused in relation to/arising out of the use of the content. Any queries should be directed to the corresponding author of the article.