Index

ABSTRACT

A novel prodrug approach was undertaken to develop the safe and therapeutically efficacious dexibuprofen to avoid oral NSAIDs induced ulceration. Dexibuprofen was esterified with dextran, using N,N-carbonyldiimidazole in one pot reaction. Synthesized dexibuprofen prodrug was characterized and evaluated by FT-IR and NMR spectroscopy, molecular weight, lipophilicity, partition coefficient, protein binding, degree of substitution, hydrolysis in simulated GI fluids, in-silico ADME properties and pharmacological potentials. Structural profile of dexibuprofen prodrug was elucidated by an ester linkage, glucosidic ring anomeric proton, dextran monomer protons and ester carbonyl carbon signals. Prodrug possessed physicochemical features as molecular weight of 83,368.11 g/mol, log P of 5.4 with optimal protein binding of 66% and degree of substitution of 25.3%. It was significantly hydrolyzed in SIF (99.53%) by following first-order kinetics with 85.9 min half-life. In-silico ADME properties of prodrug satisfied the Lipinski' rule of five and Jorgensen's rule of three without any CNS activity and cardiac toxicity, thus prodrug was suitable for oral administration. Prodrug has exhibited superior analgesic, anti-inflammatory, antipyretic activities devoid of antigenecity and ulceration in experimental animals. Data of the study were thus evinced that dexibuprofen prodrug is a safer therapeutic moiety in effective management of acute inflammation, pain and fever.

Keywords: Acyl imidazole, Brewer's yeast, Challenge antigen, Complete freund’s adjuvant (CFA), Gastric lesions, Sheep red blood cells (SRBC).

DOI: 10.20448/812.3.1.30.41

Citation Jaya Preethi P; Lakshmana Rao A; Basaveswara Rao MV (2018). Design and Schematic Evaluation of Dextran Conjugated Dexibuprofen, a Gastrosparing NSAID. American Journal of Chemistry, 3(1): 30-41.

Copyright: This work is licensed under a Creative Commons Attribution 3.0 License

Funding : This study received no specific financial support.

Competing Interests: The authors declare that they have no competing interests.

History : Received: 12 February 2018/ Revised: 2 March 2018 / Accepted: 5 March 2018 / Published: 6 March 2018.

Publisher: Online Science Publishing

1. INTRODUCTION

Prostaglandins are major physiological and pathological mediators in the inflammation, pain, pyrexia, cancer and neurological diseases. Dietary linoleic acid of liver enters cerebral endothelium and astrocytes in the CNS via circulation and gets accumulated. Cerebral endothelium and astrocytes synthesize the arachidonic acid to release into the interstitial fluid. Free arachidonic acid is carried by neurons and esterified by arachidonoyl-CoA synthetase and arachidonoyl-CoA-lysophospholipid transferase into arachidonoyl-CoA to store in phospholipid membrane. Neuromodulators such as glutamate, serotonin, histamine and bradykinin utilize transducing G protein to stimulate the release of free arachidonic acid by phospholipase A2, C and D. Amongst, phospholipase A2 hydrolyze phospholipids at second position and thus releases free arachidonic acid. The phospholipase C cleave the polar heads of phospholipids to form diacylglycerol. Further it is converted to monoacyl glycerol, glycerol and free arachidonic acid by diacylglycerol and monoacylglycerol lipases. Thus liberated free arachidonic acid can either reintegrate into the phospholipids or effuse from the cell or get biotransformed. The free arachidonic acid is metabolised by cyclooxygenase (COX), lipoxoygenase and cytochrome P450 pathways. As arachidonic acid is the precursor of prostaglandins, converted to prostaglandin G2 in cyclooxygenase pathway by COX-1 which mediates physiological functions, COX-2 a stimulatory enzyme and COX-3 and undergo reduction by peroxidase to form PGH2. Further, PGH2 is converted to PGD2, PGE2, PGI2, PGF2 and thromboxane A2. Thus synthesized prostaglandins undergo binding with G-protein coupled receptors (Bordayo et al., 2005 ; Wang et al., 2005 ; Peesa et al., 2016 ) .

Inhibition of inflammatory mediators is a prominent approach in the therapeutic management of pain and inflammation by analgesics, antipyretics, NSAIDs, selective and non-selective COX-2 inhibitors. Prolonged/chronic use of these agents against inflammatory mediators and cytokines lead to serious nephro and hepato toxicities, ischemia, myocardial infarction and gastric lesions. However, NSAIDs are being prescribed by physicians in the treatment of inflammation, pain and associated conditions due to their therapeutic versatility with less serious cardiovascular toxicities (Mattia and Coluzzi, 2005 ). Despite the side effects of NSAIDs, therapeutic agents like aspirin, paracetamol, acetanilide and phenacetin had medicinally contributed over the ages. Although NSAIDs cause potential comorbidities like gastric mucosal perforations and ulcerations, aspirin, ibuprofen, naproxen like NSAIDs occupy a major share clinically.

More than 56 years old moiety, ibuprofen is frequently used drug in the world endowed for analgesic, anti-inflammatory and antipyretic activities. It was introduced in the market in 1969 and available as an OTC drug from 1983 onwards. Ibuprofen is a prime derivative of propionic acid, constitutes a racemic mixture. In which S- enantiomer is an active form whereas, inactive R- enantiomer converts to the S-form in-vivo. The enantiomeric transformation is facilitated by acyl-CoA-synthetase, 2-arylpropionyl-CoA-epimerase and hydrolases consequently inhibits the prostaglandin synthesis and thus becomes rate limited (Bushra and Aslam, 2010 ).  In view of circumventing the above limitation, active S-enantiomer of 2-(4-(2-methylpropyl)phenyl)propanoic acid was isolated and coined as dexibuprofen by Gebro Broschek, Austria to introduce in the market (Rouzer and Marnett, 2009 ).

Dexibuprofen, the active enantiomeric fraction of ibuprofen contains carboxylic acid functional group and is principally responsible for irreversible binding with gastric mucosal lining on oral use and hence leads to ulceration (Ehrlich, 2000 ). Therefore, the research was focused on masking carboxylic acid group of dexibuprofen by esterification with dextran, a bioerodable polysaccharide to produce a novel and safe prodrug of dexibuprofen (Rautio et al., 2008 ; Bandgar et al., 2011 ; Raza et al., 2016 ).

2. MATERIALS AND METHODS

2.1. General

Dexibuprofen was obtained from M/s. Sashun Pharmaceuticals, Pondicherry, India. Dextran (60,000-90,000 Daltons), N,N–carbonyldiimidazole and Silica gel G for TLC were purchased from Himedia Chemicals, Ltd., Mumbai, India. All other solvents and chemicals used were of analar grade. IR spectra were recorded on Agilent Technologies Cary 630 FT-IR (USA) in the range 4000 to 400 cm-1. 1H NMR and 13C NMR spectra were recorded with NMR spectrophotometer (Bruker, FT-NMR-400 MHz). Chemical shifts are expressed as δ (ppm) values.

2.2. Synthesis of Dexibuprofen-Dextran Prodrug

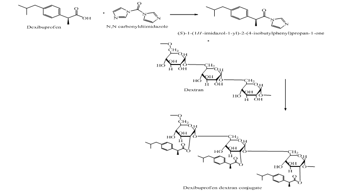
In the first step of prodrug synthesis, the carboxylic acid group of dexibuprofen was activated by addition of N,N–carbonyldiimidazole at 0°C and equilibrated for 30 min to obtain dexibuprofen acyl imidazole. Later, the intermediate was treated with appropriate quantity of dextran (60,000- 90,000 Daltons) and stirred continuously for 72 hours to synthesize dexibuprofen dextran conjugate. The reaction scheme was shown in Figure 1 (Arun et al., 2009 ) was monitored by thin layer chromatography in iodine chamber. The physicochemical properties of prodrugs were assessed and given in Table 1. The spectral data of dexibupropen prodrug were IR (cm-1): 1884 (C=O str.), 1148 (C-O bending), 2920 (C-H str.), 754 (C-H aromatic bending), 3278 (-OH str. of polymeric -OH dextran), 1647 and 1419 (str. of aromatic ring). 1H NMR (DMSO, ppm): 7.9- 8.2 (m, J=0.8, 5H, aromatic ring), 2.43 (q, J= 7.2, 2H, -CH2), 0.91 (d, J=3.2, 3H, -CH3), 4.0 (m, anomeric protons of glucosidic ring), 3.58 (-OH of dextran monomer). 13C NMR (DMSO, ppm):δ 22.8, 29, 44.5, 73.4, 84.2, 128.9 and 173.7.

2.3. Degree of Substitution

Dexibuprofen prodrug (20 mg) was dissolved in phosphate buffer (20 ml, pH 9.0) at 70°C. Resulting solution was left for hydrolysis and later neutralized with 1 N HCl. Dexibuprofen released on hydrolysis was extracted with chloroform and degree of substitution was determined at 220 nm (Rasheed et al., 2011 ).

2.4. Molecular Weight

Intrinsic viscosities of dexibuprofen and prodrugs were estimated as function of concentration. Average molecular mass of dexibuprofen prodrug was assessed from the Mark-Howink Sakurada equation, [η]=KMα, where  '[η]' is the intrinsic viscosity, 'M' is the molecular weight, 'K' and 'α' are constants (Kasaai, 2007 ).

2.5. In-Vitro Hydrolysis

Dexibuprofen prodrug was hydrolyzed in simulated gastric fluid (SGF, pH 1.2) and simulated intestinal fluid (SIF, pH 7.4). The rate of hydrolysis was enumerated as percent drug hydrolyzed with function of time. Rate and half-life of hydrolysis of synthesized product were calculated from, r = (2.303/t) log (a/a-x), where 'r' represents hydrolysis rate constant, 't' is time in hours, 'a' is initial concentration of prodrug, 'x' is amount hydrolyzed and '(a-x)' is amount of prodrug remaining (Rasheed et al., 2017 ).

2.6. ADME Properties

Ligprep was used to minimize the 2-D structures of dexibuprofen and prodrug. In-silico ADME properties of dexibuprofen and prodrug were assessed using Schrodinger's QikProp tool (Ashraf et al., 2016 ).

2.7. Biological Evaluation

Wistar rats of 6 months old (150–180 g) were housed in polypropylene cages at 25±2°C, relative humidity of 45–55%, in a well-ventilated room maintained at 12:12 h light/dark cycle, and were fed with standard pellet diet and ad libitum. All animals were acclimatized for a week before experiment. The experimental protocol was approved by Institutional Animal Ethical Committee of Sri Padmavathi School of Pharmacy, Tirupati, India (Ref: 1016/PO/E/S/CPCSEA/2016/009).

2.8. Analgesic Activity

Animals of either sex were divided into three groups of six each. Group I as control received 0.5% sodium carboxy methylcellulose p.o. Group II and III received 100 mg/kg of dexibupropen and prodrug respectively, p.o. After administration, the basal reaction time was measured at 0.5, 1, 2, 3, 4 and 6 h by immersing tail tips (5 cm) in hot water (55±1°C). Mean flick response of animals was recorded to assess analgesic activity of dexibuprofen prodrug (Kumar and Shankar, 2009 ).

2.9. Anti-Inflammatory Activity

Experimental animals were divided into three groups of six each. Group I received sodium carboxy methylcellulose (0.5%), group II and III received dexibupropen (100 mg/kg) and prodrug 100 mg/kg respectively. Prior to administration, the volume of right hind paw edema of each animal was measured by digital plethysmometer. After 30 min of dosing, carrageenan (0.1 ml, 1% w/v, phlogistic agent) was injected into the planter surface of right hind paw. Right hind paw volume of animals was measured at 0.5, 1, 2, 3 and 4 h intervals. Mean volume differentials were calculated to assess the anti-inflammatory potentials of dexibuprofen conjugate (Vandana et al., 2014 ).

2.10. Antipyretic Activity

A dose of Brewer’s yeast (10 ml/kg) was injected subcutaneously below nape of animal to induce pyrexia. Groups-I, II and III received normal saline, dexibupropen (100 mg/kg) and prodrug (100 mg/kg) orally. Rectal temperatures of animals were recorded at 30, 60 and 120 min of post dosing (Hajare et al., 2000 ).

2.11. Ulcerogenecity

Experimental animal groups-I, II and III were treated with normal saline, dexibuprofen (100 mg/kg) and prodrug (equivalent to 100 mg of dexibuprofen) up to three days. Animals were fasted overnight after third day dosing and sacrificed by decapitation. Stomach segments were isolated and washed with physiological saline. The mucosal linings were microscopically examined for the lesions. Ulcer indices were calculated and severity of gastric lesions was scored as:  normal stomach (0), red coloration (0.5), spot ulcer (1), hemorrhagic streak (1.5), ulcers (2), and perforation (3) (Vyas et al., 2009 ).

2.12. Antigenicity

2.12.1. Preparation of Test Solution

Molar quantities of dexibuprofen prodrug and ovalbumin were soaked in physiological saline overnight. Molar solutions of complete Freund’s adjuvant (CFA) with conjugate and CFA with ovalbumin were prepared. Evans blue was added to saline.

2.12.2. Sensitization Procedure

An oral/ subcutaneous dosing (1 ml/kg) of prodrug (100 mg/kg) was given to animals for sensitization. Dosing was continued every other day for nine times and CFA or ovalbumin solution and CFA three times once in three weeks to assess antigenicity.

2.12.3. Active Systemic Anaphylaxis

Sensitized animals were administered with challenge antigen (1 ml/kg, i.v.) after two weeks of post sensitization. Test animals were recognised for any active systemic anaphylaxis reactions and incidents after 30 min of post challenge.

2.12.4. Active Cutaneous Anaphylaxis

Sensitized animals were administered with challenge antigen (0.1 ml/kg, i.d.) at the depilated backs after two weeks of post sensitization. Animals were examined for any cutaneous allergic reactions at 2, 4, 8, 24 and 48 h after antigen dose.

2.12.5. Passive Hemagglutination

Blood samples were collected on 13th day from sensitized animals. Serum was separated, inactivated at 56°C and diluted to 25 ml using phosphate buffered saline (PBS). Tannic acid treated sheep red blood cells (SRBC) suspension was prepared with PBS. Then, each antigen solution (1 ml) was challenged by SRBC (0.3 ml) and gluteraldehyde (1.3 ml) (2.2%) and equilibrated for 1 h. After equilibration, SRBC were suspended in PBS and incubated at 37° C for 24 h to assess hemagglutination.

2.13. Statistical Analysis

Data of the results were obtained as mean and standard deviation/ standard error mean of multiple observations. The data were treated statistically by one-way ANOVA followed by student’s t-test. Statistical significance was set at p<0.05 (Rasheed et al., 2016 ).

3. RESULTS

3.1. Chemistry

Dexibuprofen prodrug was obtained in two steps of one-pot reaction. In the first step, carboxylic acid of dexibuprofen was reacted with N,N-carbonyldiimidazole and imidazolide was synthesized as intermediate. Consequently, carbondioxide was eliminated to produce dexibuprofen acyl imidazole. Later in second step, dexibuprofen acyl imidazole was esterified with dextran to form dexibuprofen prodrug as displayed in Figure 2. The rationale selection of high molecular weight dextran polymer and schematic esterification bestowed with high yield of prodrug (above 93%) with apparent molecular weight of 83368.11 g/mol. The ester linkage in prodrug was elucidated using FT-IR, proton and 13C-NMR spectroscopy.

The IR spectra of dexibuprofen dextran conjugate demonstrated with characteristic absorption peaks at 1884 cm-1 (C=O, str.) and 1148 cm-1 (C-O, bend.) that confirmed the ester linkage. A strong band at 3278 cm-1 indicated the O-H stretching of polymeric association. 1H-NMR spectra displayed characteristic signals at δ 4.0 (m, glucosidic ring anomeric proton), 3.58 (-OH of dextran monomer) and 7.9- 8.2 (m, J= 0.8 Hz, 4H, aromatic ring). The13C NMR spectra showed signal at 173.7 ppm that specified an ester carbonyl carbon whereas signal at 128.9 ppm indicated an aromatic carbon. Partition coefficient, protein binding and degree of substitution values of prodrug were found to be 5.4, 66% and 25.3% respectively due to effective conjugation of higher molecular weight dextran with dexibuprofen through glycosidic linkages.

Hydrolysis of dexibuprofen prodrug in SGF produced 11.64% of dexibuprofen whereas hydrolysis in SIF was resulted with 99.53%. Prodrug did not show significant hydrolysis in SGF owing to its higher stability in acidic medium. Dexibuprofen prodrug was hydrolysed rapidly in SIF by following first-order kinetics with half-life as 85.9 min as displayed in Figure 3.

Two dimensional structures of dexibuprofen and prodrug were drawn and minimized by ligprep. Schrodinger's QikProp tool provided the quantitative structure activity relationship to predict the ADME properties as mentioned in Table 2. The descriptors such as log P, hydrogen donors and acceptors were used to assess the drug-like properties of dexibuprofen and prodrug using Lipinski's rule of five. The log P of dexibuprofen and prodrug was observed as 3.4 and 5.9 respectively. Increased log P indicated the increased lipophilicity of prodrug and thereby substantial permeation through lipoidal membranes. Hydrogen bond donors and acceptors were present more in prodrug and thus prodrug satisfied the Lipinski's rule of five. Non-trival rotatable bonds were used to assess dexibuprofen metabolism. Predicted log S, conformation-independent predicted aqueous solubility, Caco-2 cell permeability, apparent MDCK cell permeability, number of metabolic reactions, percentage of human oral absorption were used to assess the suitability of dexibuprofen and prodrug for oral use by using the Jorgensen's rule of three. These in-silico study results were displayed with increased solubility, number of metabolic reactions, Caco-2 cell permeability, apparent MDCK cell permeability and human oral absorption. Dexibuprofen prodrug thus satisfied the Jorgensen's rule of three. A negative value of brain/blood partition coefficient of prodrug descriptor indicated that prodrug was unable to cross the blood-brain barrier. Increased values of binding with human serum albumin, skin permeability, number of metabolic reactions and blockage of HERG K+ channels indicated the protein binding devoid of CNS activity and cardiac toxicity (Ntie-Kang, 2013 ).

3.2. Biological Studies

A substantive analgesia (62.9%) was displayed by dexibuprofen prodrug in tail immersion method within a short reaction time of 11.3 sec when compared to that of dexibuprofen alone as shown in Figure 4. Carrageenan induced paw edema in experimental animals was significantly reduced by dexibuprofen and prodrug and observed as 66.35 and 67.3% after four hours of post dosing as demonstrated in Figure 5. Rectal temperatures of animals with pyrexia were reduced as shown in Figure 6. The mean ulcer index of dexibuprofen and prodrug was calculated as 2.96 and 1.63 and illustrated in Figure 7.

Challenge antigen dosing in prodrug sensitized group animals did not cause any active systemic anaphylaxis other than urination and evacuation of feces. Similarly any skin reactions were not noticed in active cutaneous anaphylaxis and same fashion was displayed in passive hemagglutination.

4. DISCUSSION

Dexibuprofen prodrug was synthesized and its ester linkage was confirmed by FT-IR, proton and 13C-NMR spectroscopy. Dexibuprofen prodrug displayed optimisized physicochemical and ADME properties. Increase in lipophilicity of dexibuprofen prodrug attribute to higher absorption through lipoidal cell membrane. Dexibuprofen prodrug was hydrolyzed into dexibuprofen by enzymes in the lumen of small intestine thereby parent drug was absorbed passively. Therefore, carboxylic acid group (-COOH) of dexibuprofen was not adequately available to react with gastric mucosal lining. At G-protein coupled receptor site, dexibuprofen was able to hamper the metabolism of arachidonic acid by COX pathway. Which in turn inhibited the synthesis of prostaglandin E2 and prostaglandin I2 those mediate central and peripheral nociceptive responses, T-cell receptor signaling inflammation and thermoregulatory hypothalamic neurons. Thus dexibuprofen prodrug becomes pharmacologically potential in therapeutic management of pain, inflammation and pyrexia devoid of mucosal ulcerations and drug-mediated immune responses in experimental animals.

5. CONCLUSION

Dexibuprofen prodrug was synthesized successfully by esterification in one-pot reaction. The molecular and structural principles of prodrug were characterized by spectral analysis. Prodrug ADME properties were satisfied with the Lipinski's rule of five, Jorgensen's rule of three and protein binding without CNS activity and cardiac toxicity. Hydrolyzed prodrug absorbed well in the small intestine. With adequate concentration, dexibuprofen elicited analgesic, anti-inflammatory and antipyretic potentials devoid of gastric mucosal damage and antigenicity. In conclusion, dextran conjugates can be safe and suitable delivery systems for the oral administration of carboxylic acid group containing NSAIDs.

6. ACKNOWLEDGEMENTS

The authors express their thanks to M/s. Sashun Pharmaceuticals, Puducherry, India for their generous contribution of dexibuprofen.

REFERENCES

Arun, R., Y. Sathish, V.V.N.S.S. Sravanthi and I. Theja, 2009. Design, hydrolysis and pharmacological evaluation of novel polymeric prodrugs of etodolac. Der Pharmacia Lettre, 1(2): 9-17. View at Google Scholar 

Ashraf, Z., M.K. Alamgeer, M. Hassan, S. Abdullah, M. Waheed, H. Ahsan and S.J. Kim, 2016. Flurbiprofen-antioxidant mutual prodrugs as safer nonsteroidal anti-inflammatory drugs: Synthesis, pharmacological investigation and computational molecular modeling. Drug Design, Development and Therapy, 10: 2401-2419. View at Google Scholar | View at Publisher

Bandgar, B.P., R.J. Sarangdhar, S. Viswakarma and F. Ahamed, 2011. Synthesis and biological evaluation of orally active prodrugs of indomethacin. Journal of Medicinal Chemistry, 54(5): 1191-1201. >View at Google Scholar | View at Publisher

Bordayo, E.Z., J.R. Fawcett, S. Lagalwar, A.L. Svitak and W.H. Frey, 2005. Inhibition of ligand binding to G protein-coupled receptors by arachidonic acid. Journal of Molecular Neuroscience, 27(2): 185-194. View at Google Scholar | View at Publisher

Bushra, R. and N. Aslam, 2010. An overview of clinical pharmacology of ibuprofen. Oman Medical Journal, 25(3): 155-161.View at Google Scholar 

Ehrlich, G.E., 2000. Ibuprofen: A critical bibliographic review. Journal of Clinical Rheumatoloy, 6(2): 102. View at Google Scholar 

Hajare, S.W., S. Chandra, S.K. Tandan, J. Sarma, J. Lal and A.G. Telang, 2000. Analgesic and antipyretic activities of dalbergia sissoo leaves. Indian Journal of Pharmacology, 32(6): 357-360. View at Google Scholar 

Kasaai, M.R., 2007. Calculation of Mark–Houwink–Sakurada (MHS) equation viscometric constants for chitosan in any solvent–temperature system using experimental reported viscometric constants data. Carbohydrate Polymers, 68(3): 477-488. View at Google Scholar | View at Publisher

Kumar, J.P. and N.B. Shankar, 2009. Analgesic activity of mollugo pentaphylla Linn. by tail immersion method. Asian Journal of Pharmaceutical Clinical Research, 2(1): 61-63. View at Google Scholar 

Mattia, C. and F. Coluzzi, 2005. COX-2 inhibitors: Pharmacological data and adverse effects. Minerva Anestesiologica, 71(7-8): 461-470. View at Google Scholar 

Ntie-Kang, F., 2013. An in silico evaluation of ADMET profile of the StreptomeDB database. Springerplus, 2(1): 353.View at Google Scholar | View at Publisher

Peesa, J.P., P.R. Yalavarthi, A. Rasheed and V.B. Mandava, 2016. A perspective review on role of novel NSAID prodrugs in the management of acute inflammation. Journal of Acute Disease, 5(5): 364-381.View at Google Scholar | View at Publisher

Rasheed, A., G. Lathika, Y.P. Raju, K.P. Mansoor, A.K. Azeem and N. Balan, 2016. Synthesis and pharmacological evaluation of mutual prodrugs of aceclofenac with quercetin, vanillin and l-tryptophan as gastrosparing NSAIDS. Medicinal Chemistry Research, 25(1): 70-82.View at Google Scholar | View at Publisher

Rasheed, A., P. Sagar, K. Saipriya, B. Priyanka and K.A. Saravana, 2011. Design of polymeric prodrugs of ibuprofen using dextran: Synthesis, hydrolytic behaviour, pharmacological and antigenicity studies. Latin American Journal of Pharmacy, 30(3): 473-479. View at Google Scholar | View at Publisher

Rasheed, A., P.R. Yalavarthi, H. Cheramparambil, J.P. Peesa and K.A. Abdul, 2017. Synthesis and pharmacological evaluation of acrylate-based gastrosparing NSAID prodrugs. Archiv der Pharmazie, 350(3-4): 1600325. View at Google Scholar | View at Publisher

Rautio, J., H. Kumpulainen, T. Heimbach, R. Oliyai, D. Oh, T. Jarvinen and J. Savolainen, 2008. Prodrugs: Design and clinical applications. Nature Reviews Drug Discovery, 7(3): 255-270.View at Google Scholar | View at Publisher

Raza, K., N. Kumar, C. Misra, L. Kaushik, S.K. Guru, P. Kumar, R. Malik, S. Bhushan and O.P. Katare, 2016. Dextran-PLGA-loaded docetaxel micelles with enhanced cytotoxicity and better pharmacokinetic profile. International Journal of Biological Macromolecules, 31: 206-212. View at Google Scholar | View at Publisher

Rouzer, C.A. and L.J. Marnett, 2009. Cyclooxygenases: Structural and functional insights. Journal of Lipid Research, 50(Supplement): S29-S34. View at Google Scholar | View at Publisher

Vandana, K.R., P.R. Yalavarthi, C.R. Sundaresan, R.N. Sriramaneni and H.C. Vadlamudi, 2014. In-vitro assessment of nimesulide incorporated aloe vera transemulgel. Current Drug Discovery Technologies, 11(2): 162-167. View at Google Scholar | View at Publisher

Vyas, S., P. Trivedi and S.C. Chaturvedi, 2009. Dextran-etodolac conjugates: Synthesis, in vitro and in vivo evaluation. Acta Poloniae Pharmaceutica, 66(2): 201-206. View at Google Scholar 

Wang, D., J.R. Mann and R.N. Dubois, 2005. The role of prostaglandins and other eicosanoids in the gastrointestinal tract. Gastroenterology, 128(5): 1445-1461. View at Google Scholar | View at Publisher

Table-1. Physicochemical properties of Dexibuprofen prodrug

Conjugate Colour M.P. (°C) Yield (%) Rf value * Degree of substitutionα Intrinsic viscosity  Molecular weight
Calculated (%) Found (%)
Dexibuprofen-dextran white 51 93.9 0.92 25.3 14.6 81,216.86 83,368.11

*anhydrous acetic acid: ethylacetate: water (1:3:8), α = amount of dexibuprofen in mg per 100 mg of conjugate

Table-2. Predicted ADME properties of dexibuprofen and prodrug

Properties Dexibuprofen Dexibuprofen Prodrug
Number of non-trivial rotatable bonds 4 30
Predicted central nervous system activity -1 -2
Dipole moment 20.6 7.5
Total solvent accessible surface area (SASA) in square angstroms 477 1485
Hydrophobic component of the SASA 277.27 1133.04
Hydrophilic component of the SASA 93.47 121.72
p (carbon and attached hydrogen) component of the SASA 106.5 231.09
Weakly polar component of the SASA (halogens, P, and S) 0 0
Total solvent-accessible volume in cubic angstroms 796 3163
Donor HB 1 6
Accept HB 2 28
Square of the dipole moment divided by the molecular volume 0.005 0.017
Index of cohesive interaction in solids 0.004 0.046
Globularity descriptor 0.8 0.7
Predicted polarizability in cubic angstroms 24.1 103.3
Predicted hexadecane/gas partition coefficient 7.2 31.6
Predicted octanol/gas partition coefficient 9.9 58.7
Predicted water/gas partition coefficient 4.7 35.54
Predicted octanol/water partition coefficient, log P 3.4 5.9
Predicted aqueous solubility, log S  -3.7 -6.9
Conformation-independent predicted aqueous solubility -2.9 -10.8
Predicted IC50 value for blockage of HERG K+ channels -2.3 -7.4
Predicted apparent Caco-2 cell permeability in nm/sec 325.9 694.3
Predicted brain/blood partition coefficient -0.49 -2.89
Predicted apparent MDCK cell permeability in nm/sec 187.2 333.4
Predicted skin permeability, log Kp -2.48 -0.06
PM3 calculated ionization potential 9.4 9.5
PM3 calculated electron affinity -0.15 0.06
Number of likely metabolic reactions 2 13
Prediction of binding to human serum albumin 0.06 -0.08
Predicted human oral absorption in percentage 92.3 60.6
Solvent-accessible surface area of fluorine atoms 0 0
Solvent-accessible surface area of amide oxygen atoms 0 0
van der Waals surface area of polar nitrogen and oxygen atoms and carbonyl carbon atoms 47.7 224.8
Number of nitrogen and oxygen atoms 2 19
Lipinski’s rule of five 0 4
Jorgensen’s rule of three 0 2
Predicted maximum transdermal transport rate 0.17 0.09

Source: Experimental data

Figure-1. Synthesis of dexibuprofen- dextran prodrug

Source: Experimental data.

Figure-2. Mechanism of esterification

Source: Experimental data.

Values are expressed as mean ± S.D.,n=3

Figure-3. Hydrolysis of dexibuprofen in SGF and SIF

Source: Experimental data.

Values are expressed as mean ± S.E.M.,n=6

Figure-4. Analgesic activity of dexibuprofen prodrug

Source: Experimental data.

Values are expressed as mean ± S.E.M.,n=6

Figure-5. Anti-inflammatory activity of dexibuprofen prodrug

Source: Experimental data.

Values are expressed as mean ± S.E.M.,n=6

Figure-6. Antipyretic activity of dexibuprofen prodrug

Source: Experimental data.

Values are expressed as mean ± S.E.M.,n=6

Figure-7. Comparative ulcerogenecity

Source: Experimental data.